К показателям изменения себестоимости единицы продукции относятся:
1) индекс динамики себестоимости единицы продукции:
iZ = Z1 / Z0,
где z 1 – фактическая себестоимость продукции в отчетном периоде; z 0 – себестоимость продукции в базисном периоде;
2) абсолютное изменение себестоимости единицы продукции в отчетном периоде по сравнению с базисным:
Δ z Ф = z 1 – z 0;
3) размер фактической экономии затрат в результате изменения себестоимости данного вида продукции:
ЭФ = (z 1– z 0) × q 1,
где q 1 – фактический объем выпуска продукции в отчетном периоде; 4) индекс планируемого изменения себестоимости единицы продукции:
i пл = z пл / z 0,
где z пл – плановая себестоимость единицы продукции в отчетном периоде;
5) абсолютное изменение себестоимости единицы продукции по плану:
Δ z пл = z пл – z 0;
6) ожидаемый размер экономии в результате изменения себестоимости данного вида продукции:
Эпл = (z пл– z 0) × q пл,
где q пл – плановый объем выпуска продукции в отчетном периоде;
7) индекс выполнения плана по себестоимости еди ницы продукции:
i ВП = z 1 / z пл;
8) абсолютное изменение себестоимости единицы продукции по сравнению с планом:
∆ВП = z пл – z 0;
9) размер сверхплановой экономии:
Эсв. пл = Эф – Эпл.
Размер сверхплановой экономии зависит от двух факторов: 1) от отклонения фактического выпуска продукции от запланированного:
Эсв. пл = (z пл – z 0) × (q 1 – q пл);
2) от отклонения фактического уровня себестоимости от запланированного:
Эсв. пл = (z 1 – z пл) × q 1.
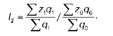
Анализ динамики среднего уровня себестоимости осуществляется с помощью индексного метода. При этом рассчитываются следующие индексы: 1) индекс себестоимости переменного состава:

Данный индекс характеризует динамику среднего уровня себестоимости;
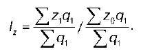
2) индекс себестоимости постоянного состава отражает влияние первого фактора на изменение средней себестоимости единицы продукции:







