Радиус k- й зоны Френеля:
- для сферической волны
,
где a – расстояние диафрагмы с круглым отверстием от точечного источника света; b - расстояние диафрагмы от экрана, на котором ведется наблюдение дифракционной картины; k – номер зоны Френеля; λ – длина волны;
- для плоской волны
.
Дифракция света на одиночной щели при нормальном падении лучей. Условие минимумов интенсивности света
,
,
где а – ширина щели; φ – угол дифракции; k – номер минимума.
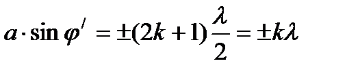
Условие максимумов интенсивности света
,
,
где φ/ – приближенное значение угла дифракции.
Дифракция света на дифракционной решетке при нормальном падении лучей. Условие главных максимумов интенсивности
, 
где d – период (постоянная) решетки; k – номер главного максимума; φ – угол между нормалью к поверхности решетки и направлением дифрагированных волн.
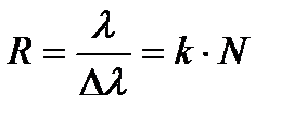
Разрешающая сила дифракционной решетки
,
где Δλ – наименьшая разность длин волн двух соседних спектральных линий (λ и λ+Δλ), при которой эти линии могут быть видны раздельно в спектре, полученном посредством данной решетки; N – число штрихов решетки; k –порядковый номер дифракционного максимума.
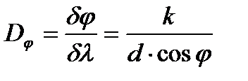
Угловая дисперсия дифракционной решетки
.
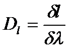
Линейная дисперсия дифракционной решетки
.
Для малых углов дифракции
,
где f – главное фокусное расстояние линзы, собирающей на экране дифрагирующие волны.
Формула Вульфа – Брэгга
,
где d – расстояние между атомными плоскостями.