• Формула Эйнштейна:
а) в общем случае
ε = h∙ν = A+Tmax, или ħ∙w =A+Tmax,
где ε = h∙ν= ħ∙w —энергия фотона, падающего на поверхность металла; А — работа выхода электрона из металла; T max — максимальная кинетическая энергия фотоэлектрона;
б) в случае, если энергия фотона много больше работы выхода (h∙ν>>A),
h∙ν= Tmax, или ħ∙w = Tmax.
Максимальная кинетическая энергия фотоэлектрона в двух случаях (нерелятивистском и релятивистском) выражается различными формулами:
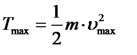
а) если фотоэффект вызван фотоном, имеющим незначительную энергию (h∙ν= ħ∙w= 5 кэВ), то
,
где m — масса электрона;
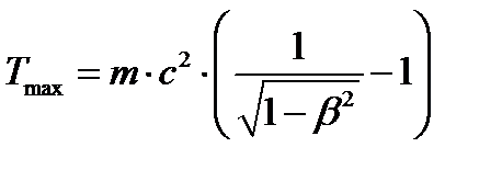
б) если фотоэффект вызван фотоном, обладающим большой энергией (h∙ν= ħ∙w >>5 кэВ), то
,
где β = υmax/c — масса релятивистского электрона.
λ0=h∙c/A или λ0=2π∙ħ∙c/A; ν0=A/h или w0=A/ ħ,
где λ0 — максимальная длина волны излучений (ν 0 и w 0 — минимальные соответственно частота и круговая частота), при которых еще возможен фотоэффект.






