· Закон Био — Савара — Лапласа
dB
[ dl,r ]
,
где dB — магнитная индукция поля, создаваемого элементом i проводника с током; m — магнитная проницаемость; m0 — магнитная постоянная (m0 =4 p · 10 -7 Гн/м); dl — вектор, равный по модулю длине dl проводника и совпадающий по направлению с током (элемент проводника); I — сила тока; r — радиус-вектор, проведенный от середины элемента проводника к точке, магнитная индукция в которой определяется.
Модуль вектора dB выражается формулой
dB
dl,
где a — угол между векторами dl и r.
· Магнитная индукция В связана с напряженностью Н магнитного поля (в случае однородной, изотропной среды) соотношением
B
H
или в вакууме
B 0= μ 0 ∙ H.
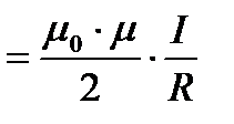
· Магнитная индукция в центре кругового проводника с током
В
,
где R — радиус кривизны проводника.
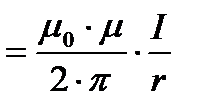
· Магнитная индукция поля, создаваемого бесконечно длинным прямым проводником с током,
В
,
где r — расстояние от оси проводника.
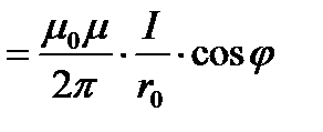
Магнитная индукция поля, создаваемого отрезком проводником
В
.
Обозначения ясны из рис.46, а. Вектор индукции В перпендикулярен плоскости чертежа, направлен к нам и поэтому изображен точкой.
|
|
|
При симметричном расположении концов проводника относительно точки, в которой определяется магнитная индукция (рис. 46, б),
и, следовательно,
В 

Рис. 46
· Магнитная индукция поля, создаваемого соленоидом в средней его части (или тороида на его оси),
В 
где п — число витков, приходящихся на единицу длины соленоида;
I — сила тока в одном витке.
· Принцип суперпозиции магнитных полей: магнитная индукция В результирующего поля равна векторной сумме магнитных индукций В1, В2 ,..., В n складываемых полей, т. е.
B
Вi.
В частном случае наложения двух полей
В = В1 + В2,
а модуль магнитной продукции
,
где a — угол между векторами В1 и В2.
• Закон Ампера. Сила, действующая на проводник с токомв магнитном поле,
F =[ l,B ]∙ I,
где I — сила тока; l — вектор, равный по модулю длине l проводника и совпадающий по направлению с током; В — магнитная индукция поля.
Модуль вектора F определяется выражением
F = B∙I∙l∙sinα,
где α — угол между векторами l и В.
• Сила взаимодействия двух прямых бесконечно длинных параллельных проводников с токами I 1 и I 2, находящихся на расстоянии d друг от друга, рассчитанная на отрезок проводника длиной l выражается формулой
.
• Магнитный момент контура с током
pm = I ∙ S,
где S — вектор, равный по модулю площади S, охватываемой контуром, и совпадающий по направлению с нормалью к его плоскости.
• Механический момент, действующий на контур с током, помещенный в однородное магнитное поле,
M= [ pm ∙ B ].
Модуль механического момента
M=pm∙B∙sinα,
где α — угол между векторами рm и В.
|
|
|
• Потенциальная (механическая) энергия контура с током в магнитном поле
Пмех= pm∙B =pm∙B∙cosα.
• Сила, действующая на контур с током в магнитном поле (изменяющемся вдоль оси x),
,
где
—изменение магнитной индукции вдоль оси Ох, рассчитанное на единицу длины; α — угол между векторами рm и В.
• Сила F, действующая на заряд Q, движущийся со скоростью υ в магнитном поле с индукцией В (сила Лоренца), выражается формулой
F = Q [ υ,B ] или F=|Q|∙u∙B∙sina,
где a — угол, образованный вектором скорости υ движущейся частицы и вектором В индукции магнитного поля.
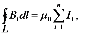
· Циркуляция вектора магнитной индукции В вдоль замкнутого контура

где Bi — проекция вектора магнитной индукции на направление элементарного перемещения dl вдоль контура L. Циркуляция вектора напряженности Н вдоль замкнутого контура
,
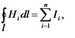
· Закон полного тока (для магнитного поля в вакууме)

где m0 =4∙π∙10-7 Гн/м- магнитная постоянная;
- алгебраическая сумма токов, охватываемых контуром; п - число токов.
Закон полного тока (для произвольной среды)

· Магнитный поток Ф через плоский контур площадью S:
а) в случае однородного поля
Ф = B∙S∙ cosa; или Ф = B n S,
где a — угол между вектором нормали n к плоскости контура и вектором магнитной индукции В; В n — проекция вектора В на нормаль n (B n =B cosa);
б) в случае неоднородного поля

где интегрирование ведется во всей поверхности S.
· Потокосцепление, т.е. полный магнитный поток, сцепленный со всеми витками соленоида или тороида,

где Ф — магнитный поток через один виток; N — число витков соленоида или тороида.
· Магнитное поле тороида, сердечник которого составлен из двух частей, изготовленных из веществ с различными магнитными проницаемостями:
а) магнитная индукция на осевой линии тороида

где I — сила тока в обмотке тороида; N — число ее витков; l 1 и l2 - длины первой и второй частей сердечника тороида; m1 и m2 —магнитные проницаемости веществ первой и второй частей сердечника тороида; m0 —магнитная постоянная
б) напряженность магнитного поля на осевой линии тороида в первой и второй частях сердечника

в) магнитный поток в сердечнике тороида

или по аналогии с законом Ома (формула Гопкинсона)
Фm=Fm/Rm,
где Fm - магнитодвижущая сила; Rm- полное магнитное сопротивление цепи;
г) магнитное сопротивление участка цепи
Rm=l/ (μ∙μ0S).
• Магнитная проницаемость μ, ферромагнетика связана с магнитной индукцией В поля в нем и напряженностью Н намагничивающего поля соотношением
μ = B/ (μ0H).
• Работа по перемещению замкнутого контура с током в магнитном поле
A = I∙ D Ф,
где D Ф — изменение магнитного потока, пронизывающего поверхность, ограниченную контуром; I — сила тока в контуре.
• Основной закон электромагнитной индукции (закон Фарадея — Максвелла)
,
где
— электродвижущая сила индукции; N — число витков контура; Y — потокосцепление.
Частные случаи применения основного закона электромагнитной индукции:
а) разность потенциалов U на концах проводника длиной I, движущегося со скоростью u в однородном магнитном поле,
U=B∙l∙u∙sina,
где a — угол между направлениями векторов скорости u и магнитной индукции В;
б) электродвижущая сила индукции
, возникающая в рамке, содержащей N витков, площадью S, при вращении рамки с угловой скоростью со в однородном магнитном поле с индукцией В
,
где wt — мгновенное значение угла между вектором В и вектором нормали n к плоскости рамки.
• Количество электричества Q, протекающего в контуре,
,
где R — сопротивление контура; D Y — изменение потокосцепления.
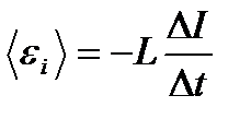
•Электродвижущая сила самоиндукции
возникающая в замкнутом контуре при изменении силы тока в нем,
, или
,
где L — индуктивность контура.
• Потокосцепление контура Y = L∙I, где L — индуктивность контура.
• Индуктивность соленоида (тороида)
|
|
|
.
Во всех случаях вычисления индуктивности соленоида (тороида) с сердечником по приведенной формуле для определения магнитной проницаемости следует пользоваться графиком зависимости В от Н, а затем формулой
.
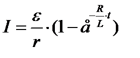
• Мгновенное значение силы тока I в цепи, обладающей активным сопротивлением R и индуктивностью L:
а) после замыкания цепи
,
где ε - ЭДС источника тока; t— время, прошедшее после замыкания цепи;
б) после размыкания цепи
,
где l 0 - сила тока в цепи при t=0, t - время, прошедшее с момента размыкания цепи.
• Энергия W магнитного поля, создаваемого током в замкнутом контуре индуктивностью L, определяется формулой
,
где I — сила тока в контуре.
• Объемная (пространственная) плотность энергии однородного магнитного поля (например, поля длинного соленоида)
.
• Формула Томсона. Период собственных колебаний в контуре без активного сопротивления
,
где L — индуктивность контура; С — его электроемкость.
• Связь длины электромагнитной волны с периодом Т и частотой υ колебаний
или
,
где с — скорость электромагнитных волн в вакууме (с=3∙108 м/с).
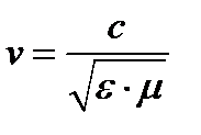
• Скорость электромагнитных волн в среде

где ε- диэлектрическая проницаемость; μ - магнитная проницаемость среды.






