Автор: профессор, В.И. Богданов, доктор физ.-мат. наук, профессор, Вологодский государственный университет. Тип материала: Методическое пособие

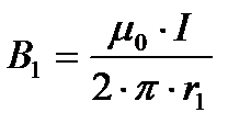
Пример 1. Два параллельных бесконечно длинных провода, по которым текут в одном направлении токи I = 60 А, расположены на расстоянии d = 10 см друг от друга. Определить магнитную индукцию В в точке, отстоящей от одного проводника на расстоянии r1 = 5 см и от другого — на расстоянии r2 = 12 см.
Решение. Для нахождения магнитной индукции в указанной точке А (рис.47) определим
Рис. 47 направления векторов индукций В 1 и В 2 по лей, создаваемых каждым проводником в отдельности, и сложим их геометрически, т. е. B = B 1 + B 2. Модуль индукции найдем по теореме косинусов:

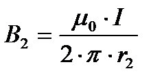
Значения индукций Bi и В2 выражаются соответственно через силу тока I и расстояния r1 и r2 от провода до точки, индукциюв которой мы вычисляем:
, 
Подставляя B1 и В2 в формулу (1) и вынося
за знак корня, получим
. (2)
Здесь мы воспользовались определяющей формулой для магнитной индукции (В = Мmак /рп).
Вычисляем cosa. Заметим, что a = DAC. Поэтому по теореме косинусов запишем
,
где d — расстояние между проводами. Отсюда
.
Подставив данные, вычислим значение косинуса: cos a = 0,576.
Подставив в формулу (2) значения m0, I, r1, r2 и cosb, найдем В = 286 мкТл.

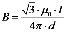
Пример 2. По двум длинным прямолинейным проводам, находящимся на расстоянии r=5 см друг от друга в воздухе, текут токи I = 10 А каждый. Определить магнитную индукцию
В поля, создаваемого токами в точке, лежащей посередине между проводами, для случаев:
1) провода параллельны, токи текут в одном направлении (рис. 48, а);
2) провода параллельны,токи текут в противоположных направлениях (рис. 48, б);
3) провода перпендикулярны, направление токов указано на рис. 48, в.
Рис. 48
Решение: Результирующаяиндукция магнитного поля равнавекторной сумме: B = B1 + B2, где B1 — индукция поля,создаваемого током 1 1; В2 — индукция поля создаваемого током I 2.
Если B1 и В2 направлены по одной прямой, то векторная сумма может быть заменена алгебраической суммой:
В = В1 + В2. (1)
При этом слагаемые В1 и В2 должны быть взяты с соответствующими знаками.В данной задаче во всех трех случаях модули индукций В1 и В2 одинаковы, так как точки выбраны на равных расстояниях от проводов, по которым текут равные токи.
Вычислим эти индукции по формуле:
. (2)
Подставив значения величин в формулу (2), найдем модули В1 и В2:
В1 = В2 = 80 мкТл.
1-й случай. Векторы B1 и В2 направлены по одной прямой (рис. 48, а); следовательно, результирующая индукция В определяется по формуле (1). Приняв направление вверх положительным, вниз — отрицательным, запишем: В 1 = - 80 мкТл, В 2 = 80 мкТл.
Подставив в формулу (1) эти значения В 1и B 2, получим В = В 1 + В2 = 0.
2-й случай. Векторы В 1 и В 2 направлены по одной прямой в одну сторону (рис. 48, б). Поэтому можем записать
В 1 = В 2 = – 80 мкТл.
Подставив в формулу (1) значения B 1 и В 2 получим
В = В 1 + В 2 = – 160 мкТл.
3-й случай. Векторы индукций магнитных полей, создаваемых токами в точке, лежащей посередине между проводами, взаимно перпендикулярны (рис. 48, в). Результирующая индукция по модулю и направлению является диагональю квадрата, построенного на векторах В 1 и В 2.
По теореме Пифагора найдем:
(3)
Подставив в формулу (3) значения В 1 и В 2, получим B = 113 мкТл.

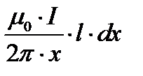
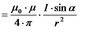
Пример 3. Определить магнитную индукцию В поля, создаваемого отрезком бесконечно длинного прямого провода, в точке, равноудаленной от концов отрезка и находящейся на расстоянии r 0 = 20 см от середины его (рис. 49). Сила тока I, текущего по проводу, равна 30 А, длина l отрезка равна 60 см.
Решение. Для определения магнитной индукции поля, создаваемого отрезком провода, воспользуемся законом Био-Савара-Лапласа: dB
dl (1)
Прежде чем интегрировать выражение (1), Рис. 49
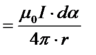
преобразуем его так, чтобы можно было интегрировать по углу a. Выразим длину элемента dl проводника через da. Согласно рис. 49, запишем
.
Подставим это выражение dl в формулу (1):
dB 
Но r — величина переменная, зависящая от a и равная
. Подставив r в предыдущую формулу, найдем
(2)
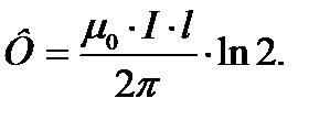
Чтобы определить магнитную индукцию поля, создаваемого отрезком проводника, проинтегрируем выражение (2) в пределах от a1 до a2:
(3)
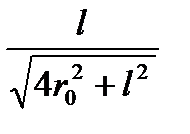
Заметим, что при симметричном расположении точки A относительно отрезка провода cosa2 = – cosa1. С учетом этого формула (3) примет вид
.
Из рис. 49 следует

Подставив выражение cosa1 в формулу (4), получим
х
.
Подставим числовые значения в формулу (5) и произведем вычисления:

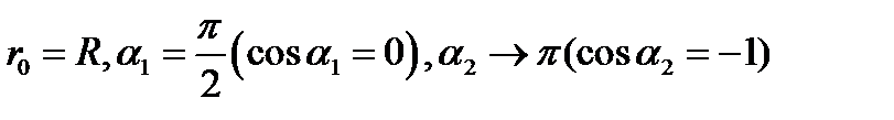
Пример 4. Длинный провод с током I = 50 А изогнут под углом a = 2p/3. Определить магнитную индукцию В в точке А (рис. 50). Расстояние d = 5 см.
Решение. Изогнутый провод можно рассматривать как два длинных провода, концы которых соединены в точке О. В соответствии с принципом суперпозиции магнитных полей магнитная индукция В в точке А будет равна геометрической сумме магнитных индукций B1 и В2 полей, создаваемых отрезками длинных проводов 1 и 2, т. е. В = В 1 + В 2. Магнитная индукция В 2 равна нулю. Это следует из закона Био-Савара-Лапласа, согласно которому в точках, лежащих на оси проводника, d В = 0([ dl,r ] = 0).
Магнитную индукцию В 1 найдем, воспользовавшись формулой (3), полученной в примере 3:
,
где r0 — кратчайшее расстояние от проводника 1 до точки А (рис. 51)
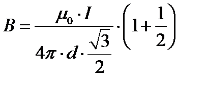
В нашем случае α1→0 (проводник длинный), α2 = α == 2π/3 (cos α2 = cos (2π/3)) = –½. Расстояние r 0 = d sin (π−α) = d sin(π/3) =
. Тогда магнитная индукция

Так как В = В1 (В2 = 0), то
.
Вектор В сонаправлен с вектором В 1 и определяется правилом правого винта. На рис. 51 это направление отмечено значком X (перпендикулярно плоскости чертежа от нас).

Рис. 50 Рис. 51
Произведем вычисления:

Пример 5. По тонкому проводящему кольцу радиусом R = 10 см течет ток I = 80 А. Найти магнитную индукцию В в точке A, равноудаленной от всех точек кольца на расстояние г = 20 см.

Решение. Для решения задачи воспользуемся законом Био-Савара-Лапласа:
dB
[ dl,r ]
,
где dB — магнитная индукция поля, создаваемого элементом тока Idl в точке, определяемой радиус-вектором r.
Рис. 52
Выделим на кольце элемент dl и от него в точку А проведем радиус-вектор г (рис. 52). Вектор d B направим в соответствии с правилом буравчика.
Согласно принципу суперпозиции магнитных полей, магнитная индукции В в точке А определяется интегралом

где интегрирование ведется по всем элементам dI кольца Разложим вектор d B на две составляющие: dB+ – перпендикулярную плоскости кольца и d B — параллельную плоскости кольца, т. е.
d B = d B^ + d B ½½. Тогда

Заметив, что
из соображений симметрии и что векторы d B от различных элементов d I сонаправлены, заменим векторное суммирование, заменим векторное суммирование (интегрирование) скалярным:
,
где
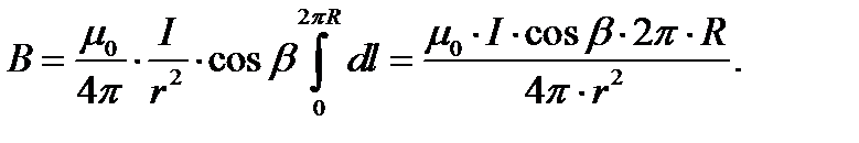
(поскольку d I перпендикулярен r и, следовательно, sina = 1). Таким образом,

После сокращения на 2 π и замены cos β на R/r (рис. 52)
.
Выразим все величины в единицах СИ, произведем вычисления:

или

Вектор В направлен на осикольца (пунктирная стрелка на рис. 52) в соответствии с правилом буравчика.
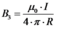
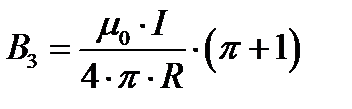
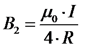
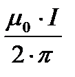
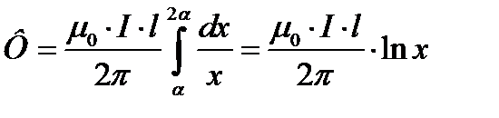
Пример 6. Бесконечно длинный проводник изогнут так, как это изображено на рис. 53. Радиус дуги окружности R = 10 см. Определить магнитную индукцию В поля, создаваемого в токе О током I = 80 A, текущим по этому проводнику.
Решение. Магнитную индукцию В в точке О найдем, используя принцип суперпозиции магнитных полей В = ∑Вi. В нашем случае проводник можно разбить на три части (рис. 54) два прямолинейных проводника (1 и 3), одним концом уходящие в бесконечность, и дугу полуокружности (2) радиуса R. Тогда
B = B 1 + B 2 + B 3
где B 1, В 2 и В 3 — магнитные индукции поля в точке О, создаваемые током, текущим соответственно на первом, втором и третьем участках проводника.

Рис. 53 Рис. 54
Так как точка О лежит на оси проводника 1, то В 1 = 0и тогда
B = B2 + B3
Учитывая, что векторы В 2 и В 3 направлены в соответствии с правилом буравчика перпендикулярно плоскости чертежа от нас, геометрическое суммирование можно заменить алгебраическим:
В = В2 + В3.
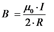
Магнитную индукцию поля В 2 можно найти, используя выражение для магнитной индукции в центре кругового проводника с током I:
.
Так как магнитная индукция В 2 создается в точке О половиной такого кругового проводника с током, то, учитывая равный вклад в магнитную индукцию от каждой половинки проводника, можно написать
.
Магнитную индукцию В 3 найдем, используя формулу (3) примера 3:

В нашем случае

Тогда

Используя найденные выражения для В2 и В3 получим
,
или

Произведем вычисления:

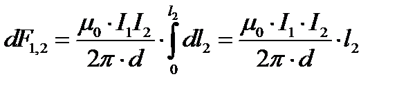
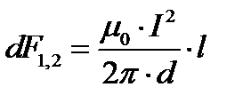
Пример 7. По двум параллельным прямым проводам длиной l = 2,5 м каждый, находящимся на расстоянии d = 20 см друг от друга, текут одинаковые токи I = 1 кА. Вычислить силу F взаимодействия токов.
Решение. Взаимодействие двух проводников, по которым текут токи, осуществляется через магнитное поле. Каждый ток создает магнитное поле, которое действует на другой проводник. Предположим, что оба тока (обозначим их 1г и I 2) текут в одном направлении.
Вычислим силу F 1,2, с которой магнитное поле, созданное током I 1, действует на проводник с током I 2. Для этого проведем магнитную силовую линию так (штриховая линия на рис. 55), чтобы она касалась проводника с током I 2. По касательной к силовой линии проведем вектор магнитной индукции В 1. Модуль магнитной индукции B 1 определяется соотношением
(1)
Согласно закону Ампера, на каждый элемент второго проводника с током I 2 длиной dl2 действует в магнитном поле сила

Так как отрезок d l перпендикулярен вектору B 1, то

и тогда
(2)
Подставив в выражение (2) В 1 из (1), получим


Рис. 55
Силу F 1,2 взаимодействия проводников с током найдем интегрированием по всей длине второго проводника;

Заметив, что I 1 = I 2 = I и l2 = l, получим
.
Произведем вычисления:

Сила F 1,2 сонаправлена с силой d F 1,2 (рис. 55) и определяется (в данном случае это проще) правилом левой руки.
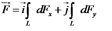
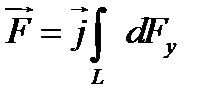
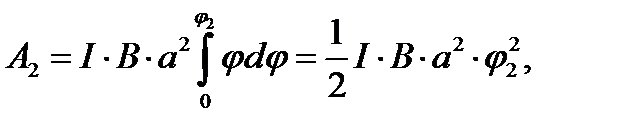
Пример 8. Провод в виде тонкого полукольца радиусом R = 10 см находится в однородном магнитном поле (B = 50 мТл). По проводу течет ток I = 10 А. Найти силу F, действующую на провод, если плоскость полукольца перпендикулярна линиям магнитной индукции, а подводящие провода находятся вне поля.
Решение. Расположим провод в плоскости чертежа перпендикулярно линиям магнитной индукции (рис. 56) и выделим на нем малый элемент d l с током.

Рис. 56
На этот элемент тока Idl будет действовать по закону Ампера сила d F = I [dlB]. Направление этой силы можно определить по правилу векторного произведения или по правилу левой руки.
Используя симметрию, выберем координатные оси так, как это изображено на рис. 11. Силу d F представим в виде

где i и j — единичные векторы (орты); dFx и dFy — проекции вектора d F на координатные оси Ох и Оу.
Силу F, действующую на весь провод, найдем интегрированием:

где символ L указывает на то, что интегрирование ведется по всей длине провода L.
Из соображений симметрии первый интеграл равен нулю
тогда
(1)
Из рис. 56 следует, что

где dF — модуль вектора d F
Так как вектор d l перпендикулярен вектору
, то
. Выразив длину дуги d l через радиус R и угол α, получим
.
Тогда
.
Введем dFy под интеграл соотношения (1) и проинтегрируем в пределах от -π/2 до +π/2 (как это следует из рис. 56):
.
Из полученного выражения видно, что сила F сонаправлена с положительным направлением оси Оу (единичным вектором j).
Найдем модуль силы F:
.
Произведем вычисления:

Пример 9. На проволочный виток радиусом г = 10 см, помещенный между полюсами магнита, действует максимальный механический момент Мmax = 6,5 мкН. Сила тока I в витке равна 2А. Определить магнитную индукцию В поля между полюсами магнита. Действием магнитного поля Земли пренебречь.
Решение. Индукцию В магнитного поля можно определить из выражения механического момента, действующего на виток с током в магнитном поле,
(1)
Если учесть, что максимальное значение механический момент принимает при α = π/2 (sin α = l), а также что pm = I S, то формула (1) примет вид
.
Отсюда, учитывая, что S = π хr 2, находим
. (2)
Произведя вычисления по формуле (2), найдем
В = 104 мкТл.

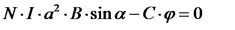
Пример 10. Квадратная рамка со стороной длиной а = 2 см, содержащая N = 100 витков тонкого провода, подвешена на упругой нити, постоянная кручения С которой равна 10 мкН м/град. Плоскость рамки совпадает с направлением линии индукции внешнего магнитного поля. Определить индукцию внешнего магнитного поля, если при пропускании по рамке тока I = 1А она повернулась на угол α = 60°.
Рис. 57
Решение. Индукция В внешнего поля может быть найдена из условия равновесия рамки в поле. Рамка будет находиться в равновесии, если сумма механических моментов, действующих на нее, будет равна нулю:
.
В данном случае на рамку действуют два момента (рис. 57): M 1 — момент сил, с которым внешнее магнитное поле действует на рамку с током, и М 2 — момент упругих сил, возникающих при закручивании нити, на которой рамка подвешена.
Следовательно, формула (1) может быть переписана в виде
M 1 + M 2 = 0
Выразив М 1 и М 2 в этом равенстве через величины, от которых зависят моменты сил, получим
.(2)
Знак минус перед моментом М 2 ставится потому, что этот момент противоположен по направлению моменту M 1.
Если учесть, что pm = ISN = I a2N, где I — сила тока в рамке; S = a2 — площадь рамки; N — число ее витков, равенство (2) перепишем в виде

откуда
(3)
Из рис. 57 видно, что α = π/2 — φ, значит, sinα = cos φ. С учетом этого равенство (3) примет вид
(4)
Значение постоянной кручения С, рассчитанной на градус (а не радиан, как это следовало бы выразить в СИ), запишем в виде

так как значение угла φ также дано в градусах.
Подставим данные в формулу (4) и произведем вычисления:

Пример 11. Плоский квадратный контур со стороной длиной а = 10 см, по которому течет ток I = 100 А, свободно установился в однородном магнитном поле индукцией В = 1Тл. Определить работу A, совершаемую внешними силами при повороте контура относительно оси, проходящей через середину его противоположных сторон, на угол: 1) φ1 = 90°; 2) φ2 = 30. При повороте контура сила тока в нем поддерживается неизменной.
Решение. На контур с током в магнитном поле действует механический момент
.(1)
По условию задачи, в начальном положении контур свободно установился в магнитном поле. При этом момент сил равен нулю
(М = 0), а значит φ = 0, т. е. векторы р m и В совпадают по направлению.
Если внешние силы выведут контур из положения равновесия, то возникший момент сил, определяемый формулой (1), будет стремиться возвратить контур в исходное положение. Против этого момента и будет совершаться работа внешними силами. Так как момент сил переменный (зависит от угла φ поворота), то для подсчета работы применим формулу работы в дифференциальной форме
dA = M хdj (2)
Подставив сюда выражение М по формуле (1) и учтя, что рт = I S = I a2, где I — сила тока в контуре, S = a2 — площадь контура, получим
.
Взяв интеграл от этого выражения, найдем работу при повороте на конечный угол:
.(3)
1. Работа при повороте на угол φ1 = 900
.(4)
После вычисления по формуле (4) найдем A1 = Дж.
2. Работа при повороте на угол ф2 = 3°. В этом случае, учитывая, что угол ф2 мал, заменим в выражении (3) sin φ на φ:
(5)
Выразим угол φ2 в радианах (см. табл. 9)
φ 2 = 30 = 3 l,75 10-2 рад = 0,0525 рад.
После подстановки значений I, В, а и φ 2 в формулу (5) получим А 2 = 1,37 мДж.
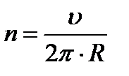
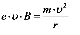
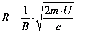
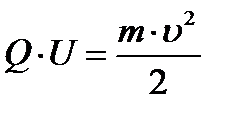
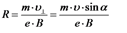
Пример 12. Электрон, пройдя ускоряющую разность потенциалов U = 400 В, попал в однородное магнитное поле с индукцией B = 1,5 мТл. Определить: 1) радиус R кривизны траектории; 2) частоту п вращения электрона вмагнитном поле. Вектор скорости электрона перпендикулярен линиям индукции.
Решение. 1. Радиус кривизны траектории электрона определим, исходя из следующих соображений: на движущийся в магнитном поле электрон действует сила Лоренца F. (Действием силы тяжести можно пренебречь.) Вектор силы Лоренца перпендикулярен вектору скорости и, следовательно, по второму закону Ньютона, сообщает электрону нормальное ускорение аn : F = m?an. Подставив сюда выражения F и аn, получим
, (1)
где е, u, т — заряд, скорость, масса электрона; В — индукция магнитного поля; R — радиус кривизны траектории; a — угол между направлениями векторов скорости υ и индукции В (в нашем случае υ ^ B и a = 90°, sina = l).
Из формулы (1) найдем
(2)
Входящий в выражение (2) импульс mu выразим через кинетическую энергию Т электрона:
(3)
Но кинетическая энергия электрона, прошедшего ускоряющую разность потенциалов U, определяется равенством Т = | e | х U. Подставив это выражение Т в формулу (3), получим 
Тогда выражение (2) для радиуса кривизны приобретает вид
(4)
После вычисления по формуле (4) найдем R = 45 мм.
2. Для определения частоты вращения воспользуемся формулой связывающей частоту со скоростью и радиусом кривизны траектории,

Подставив R из выражения (2) в эту формулу, получим
.
Произведя вычисления, найдем n = 4,20 × 107c-1 .
Пример 13. Электрон, имея скорость u = 2 Мм/с, влетел воднородное магнитное поле с индукцией В = 30 мТл под углом a = 30° к направлению линий индукции. Определить радиус R и шаг h винтовой линии, покоторой будет двигаться электрон.
Решение. Известно, что на заряженную частицу, влетевшую в магнитное поле, действует сила Лоренца, перпендикулярная векторам магнитной индукции В и скорости υ частицы:
F = Q u B sina, (1)
где Q — заряд частицы.

В случае, если частицей является электрон, формулу (1) можно записать в виде
F = |e| u B sina.
Так как вектор силы Лоренца перпендикулярен вектору скорости, то модуль скорости не будет изменяться под действием этой силы. Но при постоянной скорости, как это следует из формулы (1), останется постоянным и значение силы Лоренца. Из механики известно, что постоянная сила, перпендикулярная скорости, вызывает Рис. 58 движение по окружности. Следовательно, электрон, влетевший в магнитное поле, будет двигаться по окружности в плоскости, перпендикулярной линиям индукции, со скоростью, равной поперечной составляющей u 1скорости (рис. 58); одновременно он будет двигаться и вдоль поля со скоростью u ||:
u || = u sina, u || = u cosa.
В результате одновременного участия в движениях по окружности и по прямой электрон будет двигаться по винтовой линии.
Радиус окружности, по которой движется электрон, найдем следующим образом. Сила Лоренца F сообщает электрону нормальное ускорение ап. По второму закону Ньютона, F = m an, где F = | e | uB и an = u 2 / R,. Тогда
,
откуда после сокращения на u z находим радиус винтовой линии:
.
Подставив значения величин т, u, e, В и a и произведя вычисления, получим
R = 0,19 мм.
Шаг винтовой линии равен пути, пройденному электроном вдоль поля со скоростью u x за время, которое понадобится электрону для того, чтобы совершить один оборот,
h = u || T (2)
где T = 2p R/u ^ — период вращения электрона. Подставив это выражение для Т в формулу (2), найдем

Подставив в эту формулу значения величин p, R и a и вычислив, получим
h = 2,06 мм.
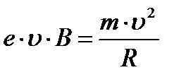
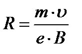
Пример 14. Электрон движется воднородном магнитном поле с индукцией В = 0,03 Тл поокружности радиусом r = 10 см. Определить скорость u электрона.
Решение. Движение электрона по окружности в однородном магнитном поле совершается под действием силы Лоренца (см. примеры 1 и 2). Поэтому можно написать
, (1)
откуда найдем импульс электрона:
р = т хu = | е | х В хr. (2)
Релятивистский импульс выражается формулой
.
Выполнив преобразования, получим следующую формулу для определения скорости частицы:
. (3)
В данном случае р = е х B хr. Следовательно,
.
В числитель и знаменатель формулы (4) входит выражение е хВ хr/т хс. Вычислим его отдельно:
е В хr / (m c) = 1,76.
Подставив найденное значениев формулу (4), получим
b = 0,871, или u = с хb = 2,61 х 108 м/с.
Электрон, обладающий такой скоростью, является релятивистским.
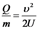
Пример 15. Альфа-частица прошла ускоряющую разность потенциалов U = 104 В и влетела в скрещенные под прямым углом электрическое (E = 10 кВ/м) и магнитное (B = 0,1 Тл) поля. Найти отношение заряда альфа-частицы к ее массе, если, двигаясь перпендикулярно обоим полям, частица не испытывает отклонений от прямолинейной траектории.
Решение. Для того чтобы найти отношение заряда Q альфа-частицы к ее массе m, воспользуемся связью между работой сил электрического поля и изменением кинетической энергии частиц:
,
откуда
. (1)
Скорость u альфа-частицы найдем из следующих соображений. В скрещенных электрическом и магнитном полях на движущуюся заряженную частицу действуют две силы:
а) сила Лоренца
, направленная перпендикулярно скорости v и вектору магнитной индукции В;
б) кулоновская сила
, сонаправленная с вектором напряженности Е электростатического поля (Q > 0).
Сделаем рисунок с изображением координатных осей и векторных
величин. Направим вектор магнитной индукции В вдоль оси Оz (рис. 59), скорость υ — в положительном направлении оси Ох, тогда F л и F k будут направлены так, как это указано на рисунке.
Альфа-частица не будет испытывать отклонения, если геометрическая сумма сил F л + Fk будет равна нулю. В проекции на ось

Рис. 59
Оу получим следующее равенство (при этом учтено, что вектор скорости v перпендикулярен вектору магнитной индукции В и sin (υ Ù B) = l):
Q хE — Q хu хB = O,
откуда
u = E/B.
Подставив это выражение скорости в формулу (1), получим
.
Произведем вычисления:

Пример 16. В одной плоскости с бесконечно длинным прямым проводом, по которому течет ток I = 50 А, расположена прямоугольная рамка так, что две большие стороны ее длиной l = 65 см параллельны проводу, а расстояние от провода до ближайшей из этих сторон равно ее ширине. Каков магнитный поток Ф, пронизывающий рамку?
Решение. Магнитный поток Ф через поверхность площадью S определяется выражением
Рис. 60
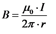
В нашем случае вектор магнитной индукции В перпендикулярен плоскости рамки. Поэтому для всех точек рамки Вn = В. Магнитная индукция В, создаваемая бесконечно длинным прямым проводником с током, определяется формулой
,
где x — расстояние от провода до точки, в которой определяется В.
Для вычисления магнитного потока заметим, что так как В зависит от х и элементарный поток Ф будет также зависеть от х, то
dФ = B(x)dS.
Разобьем площадь рамки на узкие элементарные площадки длиной l, шириной dx и площадью dS = ldx (рис. 60). В пределах этой площадки магнитную индукцию можно считать постоянной, так как все части площадки равноудалены (на расстояние х) от провода. С учетом сделанных замечаний элементарный магнитный поток можно записать в виде
dФ = 
Проинтегрировав полученное выражение в пределах от x 1 = a до х2 = 2а, найдем
|p2p.
Подставив пределы, получим

Произведя вычисления по формуле (1), найдем
Ф = 4,5 мкВб.
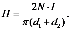
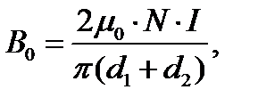
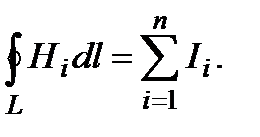
Пример 17. Определить индукцию В и напряженность Н магнитного поля на оси тороида без сердечника, по обмотке которого, содержащей N = 200 витков, идет ток I = 5 А. Внешний диаметр d 1 тороида равен 30 см, внутренний d 2 = 20 см.
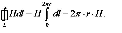
Решение. Для определения напряженности магнитного поля внутри тороида вычислим циркуляцию вектора Н вдоль линии магнитной индукции поля: 
Из условия симметрии следует, что линии магнитной индукции тороида представляют собой окружности и что во всех точках этой линии напряженности одинаковы. Поэтому в выражении циркуляции напряженность Н можно вынести за знак интеграла, а интегрирование проводить в пределах от нуля до 2 p r, где r — радиус окружности, совпадающей с линией индукции, вдоль которой вычисляется циркуляция,
(1)
С другой стороны, в соответствии с законом полного тока циркуляция вектора напряженности магнитного поля равна сумме токов, охватываемых контуром, вдоль которого вычисляется циркуляция:
(2)
Приравняв правые части равенств (1) и (2), получим
(3)
Линия, проходящая вдоль тороида, охватывает число токов, равное числу витков тороида. Сила тока во всех витках одинакова. Поэтому формула (3) примет вид 2p хr хH = N хI, откуда
(4)
Для средней линии тороида r = 1/2 (R1 + R2) = 1/4 (d1 + d2). Подставив это выражение r в формулу (4), найдем
(5)
Магнитная индукция В 0 в вакууме связана с напряженностью поля соотношением B 0 = m0 H. Следовательно,
(6)
Подставив значения величин в выражения (5) и (6), получим:
H = 1,37 кА/м, B 0 = 1,6 мТл.
Пример 18. Виток, по которому течет ток I = 20 А, свободно установится в однородном магнитном поле В = 16 мТл. Диаметр d витка равен 10 см. Какую работу нужно совершать, чтобы медленно повернуть виток на угол a = p/2 относительно оси, совпадающей с диаметром?
Решение. При медленном повороте контура в магнитном поле индукционными токами можно пренебречь и считать ток в контуренеизменным. Работа сил поля в этом случае определяется выражением
,
где Ф 1 и Ф 2 — магнитные потоки, пронизывающие контур в начальном и конечном положениях.
Работа внешних сил будет равна модулю работе сил поля и противоположна ей по знаку, т. е.
(1)
Так как в начальном положении контур установился свободно (положение устойчивого равновесия), то момент внешних сил, действующий на контур, равен нулю. В этом положении вектор
Рис. 61
магнитного момента p m контура сонаправлен с вектором В (рис. 61, а) и магнитный поток Ф1 максимален (a = 0, cosa = 1), т. е. Ф1 = В хS (где S — площадь контура).
В конечном положении (рис. 61, б) вектор p m перпендикулярен вектору B (a = p/2, cosa = 0) и магнитный поток Ф 2 = 0. Перепишем выражение (1) с учетом сделанных замечаний:
.
Так как площадь контура S = p хd 2 / 4. то работа
.
Убедимся в том, что правая часть равенства дает единицу работы (Дж):

Произведем вычисления:

Пример 19. В однородном магнитном поле с индукцией B = 0,1 Тл равномерно вращается рамка, содержащая N = 1000 витков, с частотой n = 1c-1. Площадь S рамки равна 150 см2. Определить мгновенное значение ЭДС, соответствующее углу поворота рамки 30°.
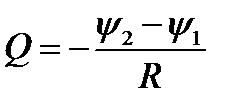
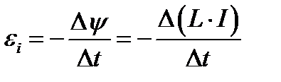
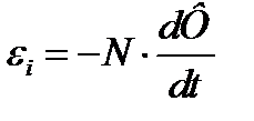
Решение. Мгновенное значение ЭДС индукции, определяется основным уравнением электромагнитной индукции Фарадея — Максвелла:
. (1)
Потокосцепление Y = N хФ, где N — число витков, пронизываемых магнитным потоком Ф. Подставив выражение Y в формулу (1),получим
. (2)
При вращении рамки магнитный поток Ф, пронизывающий рамку в момент времени t, изменяется по закону Ф = В хS хcosw t, где В — магнитная индукция; S — площадь рамки; w — угловая частота. Подставив в формулу (2) выражение Ф и продифференцировав по времени, найдем мгновенное значение ЭДС индукции:
. (3)
Угловая частота со связана с частотой п вращения соотношением w = 2 p хп. Подставив выражение со в формулу (3) и заменив w t на угол a, получим
. (4)
Произведя вычисления по формуле (4), найдем

Пример. 20. По соленоиду течет ток I = 2 А. Магнитный поток Ф, пронизывающий поперечное сечение соленоида, равен 4 мкВб. Определить индуктивность L соленоида, если он имеет N = 800 витков.
Решение. Индуктивность L соленоида связана с потокосцеплением Y соотношением Y = L хI, откуда L = Y/I. Заменив здесь потокосцепление Y его выражением через магнитный поток Ф и число витков N соленоида (Y = Ф х N), получим
(1)
Произведя вычисления по формуле (1), получим
L = 1,6 мГн.
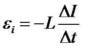
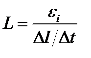
Пример 21. При скорости изменения силы тока D I /D t в соленоиде, равной 50 А/с, на его концах возникает ЭДС самоиндукции 0,08 В. Определить индуктивность L соленоида.
Решение. Индуктивность соленоида связана с ЭДС самоиндукции и скоростью изменения силы тока в его обмотке соотношением
.
Вынося постоянную величину L за знак приращения, получим
.
Опустив знак минус в этом равенстве (направление ЭДС в данном случае несущественно) и выразив интересующую нас величину — индуктивность, получим
.
Сделав вычисления по этой формуле, найдем
L = 1,6 мГн.
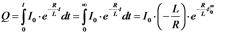
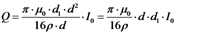
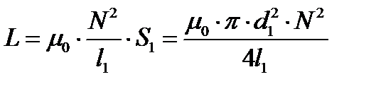
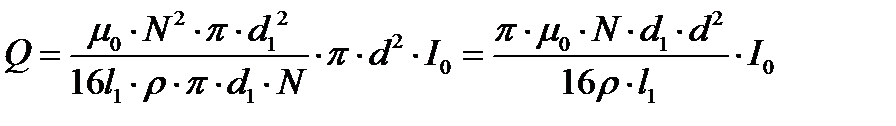
Пример 22. Обмотка соленоида состоит из одного слоя плотно прилегающих друг к другу витков медного провода диаметром d = 0,2 мм. Диаметр D соленоида равен 5 см. По соленоиду течет ток I = 1 А. Определить количество электричества Q, протекающее через обмотку, если концы ее замкнуть накоротко. Толщиной изоляции пренебречь.
Решение. Возможны два способа решения, 1-й способ. Количество электричества dQ, которое протекает по проводнику за время d t при силе тока I, определяется равенством
. (1)
Полное количество электричества, протекающее через проводник за время t, будет
.
Сила тока в данном случае убывает экспоненциально со временем и выражается формулой
.
Внося выражение силы тока I под знак интеграла и интегрируя от 0 до ¥ (при t®¥I®0), получим
.
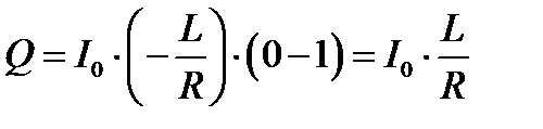
Подставим пределы интегрирования и определим количество электричества, протекающее через обмотку:
. (2)
2-й способ. Подставив в формулу (1) вместо силы тока I выражение ее через ЭДС индукции
, и сопротивление R соленоида, т. е.
, найдем
.
Но связана со скоростью изменения потокосцепления Y по закону Фарадея — Максвелла
, тогда
.
Интегрируя, получаем
. (3)
Потокосцепление Y пропорционально силе тока в соленоиде. Следовательно, Y1 = LI 0; Y2 = 0, так как Y2 соответствует тому моменту, когда ток в цепи обратится в нуль. Подставив выражения Y1 и Y2 в формулу (3), получим Q = Y1/ R, или
,
что совпадает с формулой (2). Для определения заряда, протекающего через обмотку соленоида, следует найти индуктивность L соленоида и сопротивление R обмотки соленоида, которые выражаются формулами
,
,
где m0 — магнитная постоянная; N — число витков; l 1 — длина соленоида; S 1 — площадь сечения соленоида; r — удельное сопротивление провода; l — длина провода; S — площадь сечения провода; d — диаметр провода; d 1 — диаметр соленоида.
Подставив найденные выражения L и R в формулу (2), получим
.
Заметим, что длина провода l может быть выражена через диаметр d 1 соленоида соотношением l = p хd 1 N, где N — число витков, тогда формуле (4) можно придать вид
.
Но l 1 /N есть диаметр провода, так как витки плотно прилегают друг к другу. Следовательно,
.
Произведя вычисления по формуле (5), получим
Q = 363 мкКл.
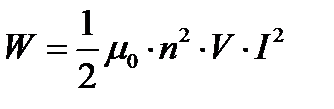
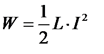
Пример 23. На стержень из немагнитного материала длиной l = 50 см намотан в один слой провод так, что на каждый сантиметр длины стержня приходится 20 витков. Определить энергию W магнитного поля внутри соленоида, если сила тока I в обмотке равна 0,5 А. Площадь S сечения стержня равна 2 см2.
Решение. Энергия магнитного поля соленоида с индуктивностью L, по обмотке которого течет ток I, выражается формулой
. (1)
Индуктивность соленоида в случае немагнитного сердечника зависит только от числа витков на единицу длины и от объема V сердечника: L = μ0n2V, где μ0 — магнитная постоянная. Подставив выражение индуктивности L в формулу (1), получим
. Учтя, что V = l хS, запишем
. (2)
Сделав вычисления по формуле (2), найдем
W = 126 мкДж.
Пример 24. По обмотке длинного соленоида со стальным сердечником течет ток I = 2А. Определить объемную плотность ω энергии магнитного поля в сердечнике, если число п витков на каждом сантиметре длины соленоида равно 7 см-1.
Решение. Объемная плотность энергии магнитного поля определяется по формуле
. (1)
Напряженность Н магнитного поля найдем по формуле H = n хl. Подставив сюда значения п (п = 7 см-1 = 700 м-1) и I, найдем
H = 1400 А/м.
Магнитную индукцию В определим по графику (рис. 18) зависимости В от Н. Находим, что напряженности H = 1400 А/м соответствует магнитная индукция B = 1,2 Тл.
Произведя вычисление по формуле (1), найдем объемную плотность энергии:
ω = 840 Дж/м3.
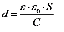
Пример 25. Колебательный контур, состоящий из воздушного конденсатора с двумя пластинами площадью S = 100 см2 каждая и катушки с индуктивностью L = l мкГн, резонирует на волну длиной λ = 10 м. Определить расстояние d между пластинами конденсатора.
Решение. Расстояние между пластинами конденсатора можно найти из формулы электроемкости плоского конденсатора
,
где ε — диэлектрическая проницаемость среды, заполняющей конденсатор, откуда
. (1)
Из формулы Томсона, определяющей период колебаний в электрическом контуре:
, находим электроемкость
. (2)
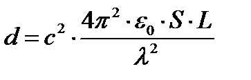
Неизвестный в условии задачи период колебаний можно определить, зная длину волны λ, на которую резонирует контур. Из соотношения λ = с хТ имеем
Т = λ /с.
Подставив выражения периода Т в формулу (2), а затем электроемкости С в формулу (1), получим
.
Произведя вычисления, найдем d =3,14 мм.
Пример 26. Колебательный контур состоит из катушки с индуктивностью L = 1,2 мГн и конденсатора переменной электроемкости от C1 = 12 пФ до С2 = 80 пФ. Определить диапазон длин электромагнитных волн, которые могут вызывать резонанс в этом контуре. Активное сопротивление контура принять равным нулю.
Решение. Длина λ электромагнитной волны, которая может вызвать резонанс в колебательном контуре, связана с периодом Т колебаний контура соотношением
λ =с?Т. (1)
Период колебаний, в свою очередь, связан с индуктивностью L катушки и электроемкостью С конденсатора колебательного контура соотношением (формула Томсона)
. Следовательно,
. (2)
Согласно условию задачи, индуктивность контура неизменна, а электроемкость контура может изменяться в пределах от C1 до C2. Этим значениям электроемкости соответствуют длины волн λ1 и λ2,, определяющие диапазон длин волн, которые могут вызвать резонанс. После вычислений по формуле (2) получим:
λ1 = 226 м; λ2 = 585 м.
Задачи
241. Бесконечно длинный провод с током I = 100 А изогнут так, как показано на рис. 62. Определить магнитную индукцию В в точке О. Радиус дуги R = 10 см.
242. Магнитный момент pm тонкого проводящего кольца
|
|