• Давление, производимое светом при нормальном падении,
или
,
где E e — облученность поверхности; с — скорость электромагнитного излучения в вакууме; w — объемная плотность энергии излучения; ρ — коэффициент отражения.
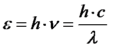
• Энергия фотона
, или
,
где h— постоянная Планка; ħ=h/ (2π); ν - частота света; w — круговая частота; λ — длина волны.
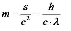
• Масса и импульс фотона выражаются соответственно формулами
,
.






