Стенка нагревательной печи изготовлена из двух слоев кирпича. Внутренний слой выполнен из огнеупорного кирпича толщиной d1=350 мм, а наружный слой из красного кирпича
2=250 мм. Определить температуру на внутренней поверхности стенки t1 и на внутренней стороне красного кирпича t2,если на наружной стороне температура стенки t3=900С, а потеря теплоты через 1м2 стенки равна 1кВт. Коэффициенты теплопроводности огнеупорного и красного кирпича соответственно l1=1, Вт/м·К, l2=0,58 Вт/м·К.
| t2 |
| t1 |
| t3 |
| t3 |
| d1 |
| d2 |
|
Дано:q=1кВт=103Вт
d1=350мм=0,35м
d2=250мм=0,25м
l1=1,4 Вт/м·К
l2=0,58 Вт/м·К
t3=900С
Определить: t1=? t2=?
Решение:
Удельный тепловой поток q через два слоя стенки определяется по следующей формуле:
q= 
Отсюда: t1=t3+q(
)
t1=90+1*103(
)=770⁰C
Удельный тепловой поток q через внутренний слой d1 определяется по следующей формуле: q1=λ1 
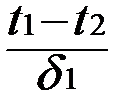
Отсюда: t2=t1-
*q
t2=770-
*1*103=520⁰C
Ответ: t1=7700C, t2=5200C
| № варианта | , 0C | , кВт | , мм | , мм |
| 1,11,21 | 0,19 | |||
| 2,12,22 | 2,5 | |||
| 3,13,23 | 1,1 | |||
| 4,14,24 | 0,5 | |||
| 5,15,25 | 1,5 | |||
| 6,16,26 | 2,0 | |||
| 7,17,27 | 1,1 | |||
| 8,18,28 | 1,3 | |||
| 9,19,29 | 1,5 | |||
| 10,20,30 | 0,6 |
Таблица 10 – Варианты заданий
, 0C
, кВт
, мм
, мм 





