Температура поверхности вертикальной стенки высотой h=3м равна t = 10°С. Температура воздуха в помещении tв= 20°C. Определить коэффициент теплоотдачи от воздуха к стенке.
tв= 20°C Дано: h = 3м
t = 10°С
tв= 20°C
h = 3м
t = 10°С определить: a=?
Решение:
Теплообмен осуществляется при свободной конвенции. Определяем значения критериев Gr и Pr.

Где

Vв20˚=15,148*10-6,
/с. (см. приложение таблица А5)
Рr=0,701 (см. приложение таблица А5)
Так как Gr*Pr=3,98*1010*0701=2,79*1010
то C=0,135 и n=
(стр.60, [1])
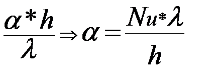
Находим критерий Nu по формуле:
Nu=C·(Gr*Pr)n
Nu=0,135* 
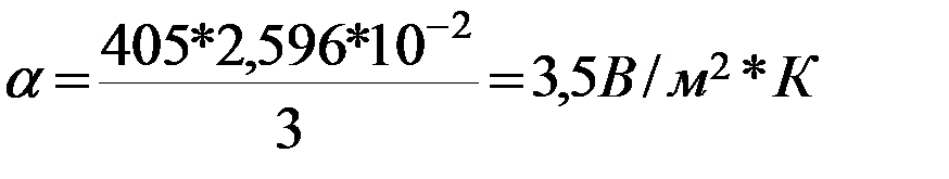
Определяем коэффициент теплоотдачи из уравнения:
Nu
,
Где
λв20˚=2,596*10-2 Вт/м*К (см. приложение таблица А5)

Ответ: 
Таблица 13 – Варианты заданий
| № варианта | h, м | t,°C | t, В°C | |
| 1,11,21 | +30 | |||
| 2,12,22 | +20 | |||
| 3,13,23 | +10 | |||
| 4,14,24 | +5 | |||
| 5,15,25 | ||||
| 6,16,26 | +15 | |||
| 7,17,27 | +25 | |||
| 8,18,28 | +35 | |||
| 9,19.29 | + 40 | |||
| 10,20,30 | +45 | |||






