Длина поезда lп при уточненном весе состава не должна превышать длину приемо-отправочных путей станции lст (для возможности скрещения, остановки или обгона), т.е. lп £ lст. Можно принять lст=1250 м.
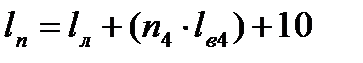
Длина поезда lп с учетом допуска на неточность установки поезда 10 м, м:
, (42)
где lв4, - длина четырехосных вагонов по осям автосцепок, м;можно принять lв4 =13,92 м.
lл - длина локомотива по осям автосцепок, м.
При невыполнении условия lп £ lст число вагонов в составе и, следовательно, вес грузового состава должны быть уменьшены.
5.4. Определение максимальной крутизны подъема imax, на котором возможно трогание с места поезда уточненного веса Q после остановки
Максимальная крутизна подъема imax, ‰:
, (43)
где Fктр - максимальная сила тяги локомотива при трогании, Н;
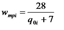
wтр - удельное сопротивление состава поезда при трогании с места на прямом горизонтальном пути, Н/кН:
. (44)
На элементах профиля с крутизной подъема больше величины imax должно быть предусмотрено только безостановочное движение поездов с установленной весовой нормой Q.
Масса грузового поезда Мп, с учетом ограничений по условиям эксплуатации, т:
. (45)






