Развеска позволяет определить положение центра тяжести верхнего (надтележечного) строения локомотива и распределение нагрузок по его тележкам и (или) колесным парам.
При выполнении развески проектируемого тепловоза можно ограничиться выбором наиболее крупных по весогабаритным характеристикам узлов, составляющих верхнее строение локомотива. К числу таких узлов относятся: дизель, тяговый генератор и выпрямительная установка (или гидродинамическая передача), кузов с кабинами машиниста, главная рама и вспомогательные механизмы, перечисленные в разделе 3.1.
При определении весогабаритных характеристик основных узлов и оборудования следует ориентироваться на аналогичные параметры тепловоза-прототипа.
В таблице 1 приведены весовые характеристики основных узлов и оборудования основных серий отечественных магистральных и маневровых локомотивов.
Для выполнения развески используется схема (эскиз) первоначального расположения узлов и оборудования, т.е. ранее выполненная компоновка (см. рис.5).
Может быть рекомендована следующая последовательность выполнения развески проектируемого тепловоза:
- вес каждого i -го узла представляется в виде вектора силы тяжести приложенного в его центре тяжести и обозначается Gi;
- ось моментов Z (см. рис. 5) совмещается с осью передней автосцепки тепловоза; ось Х – с головками рельсов колеи;
- на схеме компоновки отмечаются расстояния от векторов сил тяжести узлов Gi до оси моментов Z и обозначаются li; желательно, чтобы, например, величине G5 соответствовало расстояние l5 и т.д.;
-составляется весовая ведомость тепловоза, которую желательно представить в табличной форме, аналогичной таблице 2, с помощью которой определяются вес верхнего строения тепловоза
i и суммарный момент сил тяжести
i;



- определяется координата Хцт центра тяжести верхнего строения тепловоза по следующей формуле, м:
(12)
где
i - суммарный момент сил тяжести узлов и оборудования, входящих в верхнее строение тепловоза, кН
:
где
– вес верхнего строения тепловоза, кН;
li - плечо приложения силы тяжести i -ого узла относительно оси моментов Z;
n - количество узлов и оборудования, составляющих вер нее строение локомотива.
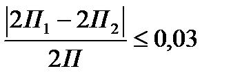
Как отмечалось ранее, основная задача развески тепловоза - обеспечить более или менее равномерное распределение нагрузок на колесные пары (и тележки!) локомотива. В практике проектирования тепловозов принят допуск на неравномерность распределения нагрузок по колесным парам тележки равный
%.
Для определения нагрузок на тележки используют уравнения статики. Раму тепловоза представляют в виде балки, расположенной на двух мнимых опорах (центры шкворней). Нагрузки на тележки заменяют реакциями РА и РБ мнимых опор (рис.6). На схеме также указываются геометрическая середина тепловоза (LТ /2) и координата Хцт центра тяжести
i верхнего строения тепловоза, а также вектор силы тяжести
I. Для нахождения двух неизвестных величин РА и РБ составляют два уравнения статики: уравнение проекций всех сил на вертикаль Z (ось ординат) и уравнение моментов этих сил относительно оси Z.
Таблица 2
Весовая ведомость проектируемого тепловоза
| № п/п | Наименование узла или оборудования | Вес G i, кН | Плечо l i, м | Момент М i, кН·м | Примечание |
| 1. . . . . . . . . n | Дизель-генератор | ||||
| Итого: | i | i |
В соответствии со схемой сил, показанной на рис.6, уравнение проекций всех сил на вертикальную ось ординат Z будет иметь вид:
РА + РБ -
=0. (14)
Уравнение моментов этих сил относительно точки «о» (см. рис.6):
РА
+ РБ
-
=0, (15)
где РА, РБ – реакции в мнимых опорах тележек, вызванные действием силы тяжести (веса)
i верхнего строения тепловоза, кН;
lA,lБ - расстояния от оси моментов Z до мнимых опор А первой (по ходу) и Б второй тележек, м.
Из рис.6 также следует, что
lб = lA + lБ, (16)
где lб – база проектного тепловоза, м.
Совместным решением уравнений (14) и (15) находятся значения реакций РА и РБ в мнимых опорах тележек.
По нормам, применяемых при проектировании тепловозов, неравномерность распределения нагрузок
по колесным парам разных тележек не должна превышать величины
. При этом принимается, что колесные пары одной тележки имеют одинаковое нагружение.

| Рис. 6. Схема для определения неравномерности распределения нагрузок по тележкам локомотива |
В этом случае величина
может быть определена из следующего выражения, кН:
=
, (17)
где 2П1 – нагрузка от каждой из колесных пар первой (по ходу) тележки, кН:
, (18)
где GТ –вес тележки тепловоза, кН;
nТ – количество осей в тележке, кН;
2П2 – нагрузка от каждой из колесных пар второй тележки, кН:
. (19)
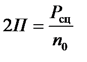
2П - нагрузка от колесной пары на рельсы при равномерном распределении нагрузок по колесным парам тепловоза (случай идеальной компоновки, когда Хцт = LТ /2), кН:
, (20)
где Рсц - сцепной вес локомотива, кН;
no - число сцепных осей локомотива.
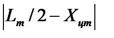
Несовпадение центра тяжести Хцт и геометрического центра тяжести верхнего строения тепловоза
можно определить из выражения, мм:
=
. (21)
Если неравномерность распределения нагрузок
, определенная по формуле (10), превышает нормативную величину
(3%), компоновку проектируемого тепловоза надо изменить. В этом случае целесообразно передвинуть наиболее тяжелые узлы, например, дизель-генератор в сторону геометрического центра верхнего строения тепловоза и тем самым уменьшить величину
. Вновь составляется весовая ведомость и определяется координата Хцт центра тяжести проектируемого тепловоза.






