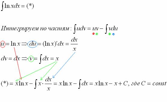
Смотрим на левую часть:
. Очевидно, что в нашем примере
(и во всех остальных, которые мы рассмотрим) что-то нужно обозначить за
, а что-то за
.
В интегралах рассматриваемого типа за
всегда обозначается логарифм.
Технически оформление решения реализуется следующим образом, в столбик записываем:

То есть, за
мы обозначили логарифм, а за
– оставшуюся часть подынтегрального выражения.
Следующий этап: находим дифференциал
:

Дифференциал – это почти то же самое, что и производная.
Теперь находим функцию
. Для того чтобы найти функцию
необходимо проинтегрировать правую часть нижнего равенства
:

Теперь открываем наше решение и конструируем правую часть формулы:
.
Вот кстати, и образец чистового решения с небольшими пометками:

Как видите, применение формулы интегрирования по частям, по сути дела, свело наше решение к двум простым интегралам.
Обратите внимание, что в ряде случаев сразу после применения формулы, под оставшимся интегралом обязательно проводится упрощение – в рассматриваемом примере мы сократили подынтегральное выражение на «икс».
|
|
|
Выполним проверку. Для этого нужно взять производную от ответа:

Получена исходная подынтегральная функция, значит, интеграл решён правильно.
В ходе проверки мы использовали правило дифференцирования произведения:
. И это не случайно.
Формула интегрирования по частям
и формула
– это два взаимно обратных правила.
Пример 2
Найти неопределенный интеграл.

Подынтегральная функция представляет собой произведение логарифма на многочлен.
Решаем.

Как уже говорилось, за
необходимо обозначить логарифм (то, что он в степени – значения не имеет). За
обозначаем оставшуюся часть подынтегрального выражения.
Записываем в столбик:

Сначала находим дифференциал
:

Теперь находим функцию
, для этого интегрируем правую часть нижнего равенства
:

Для интегрирования мы применили простейшую табличную формулу 
Теперь всё готово для применения формулы
. Открываем «звёздочкой» и «конструируем» решение в соответствии с правой частью
:

Под интегралом у нас снова многочлен на логарифм! Поэтому решение опять прерывается и правило интегрирования по частям применяется второй раз. Не забываем, что за
в похожих ситуациях всегда обозначается логарифм.

Хорошо бы, если к данному моменту простейшие интегралы и производные Вы умели находить устно.

(1) Не путаемся в знаках! Очень часто здесь теряют минус, также обратите внимание, что минус относится ко всей скобке
, и эти скобки нужно корректно раскрыть.
(2) Раскрываем скобки. Последний интеграл упрощаем.
(3) Берем последний интеграл.
(4) «Причесываем» ответ.
Необходимость дважды (а то и трижды) применять правило интегрирования по частям возникает не так уж и редко.
|
|
|