Прямая L называется асимптотой
неограниченной кривой K, если расстояние d от точки M кривой K до этой прямой стремится к нулю при неограниченном удалении точки M вдоль кривой K от начала координат. На рисунке 55 приведена иллюстрация понятия асимптоты: прямая L является асимптотой для кривой К.
Покажем, что гипербола
имеет две асимптоты:
(11.11)
Так как прямые (11.11) и гипербола (11.9) симметричны относительно координатных осей, то достаточно рассмотреть только те точки указанных линий, которые расположены в первой четверти.

Возьмем на прямой
точку N имеющей ту же абсциссу х, что и точка
на гиперболе
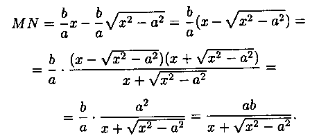
(см.рис. 56), и найдем разность ΜΝ между ординатами прямой и ветви гиперболы:

Как видно, по мере возрастания х знаменатель дроби увеличивается; числитель — есть постоянная величина. Стало быть, длина отрезка
ΜΝ стремится к нулю. Так как ΜΝ больше расстояния d от точки Μ до прямой, то d и подавно стремится к нулю. Итак, прямые
являются асимптотами гиперболы (11.9).
При построении гиперболы (11.9) целесообразно сначала построить основной прямоугольник гиперболы (см. рис. 57), провести прямые, проходящие через противоположные вершины этого прямоугольника, — асимптоты гиперболы и отметить вершины
и
, гиперболы.
|
|
|






