Гипербола (11.9) называется равносторонней, если ее полуоси равны (
). Ее каноническое уравнение
(11.12)
Асимптоты равносторонней гиперболы имеют уравнения
и
и, следовательно, являются биссектрисами координатных углов.
Рассмотрим уравнение этой гиперболы в новой системе координат
(см. рис. 58), полученной из старой поворотом осей координат на угол
. Используем формулы поворота осей координат:

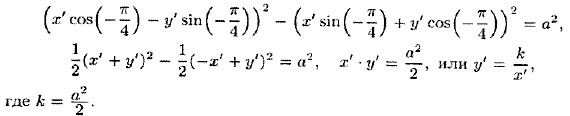
Подставляем значения х и у в уравнение (11.12):

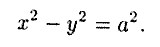
Уравнение равносторонней гиперболы, для которой оси Ох и Оу являются асимптотами, будет иметь вид
.






