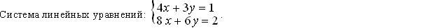
269. Задание {{290}} СЛАУ2

þ (7;2)
o (2;7)
o (1;3)
o (-1;2)
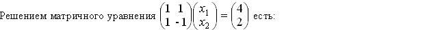
270. Задание {{291}} СЛАУ5

o 
þ 
o 
o 
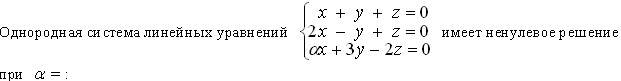
271. Задание {{292}} СЛАУ6

þ 
o 
o 
o 
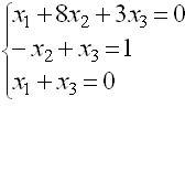
272. Задание {{293}} СЛАУ11

þ 
o 
o 
o 
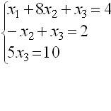
273. Задание {{294}} СЛАУ12
Покажите систему линейных уравнений,
подготовленную для обратного хода
метода Гаусса:
o 
o 
þ 
o 
274. Задание {{295}} ТЗ № 37
Выберите верное

þ 
o 
o 
275. Задание {{296}} ТЗ № 38
Выберите верное

o 
o 
þ 
276. Задание {{297}} ТЗ № 43
Выберите верное

þ 
o 
o 
o 
o 
277. Задание {{298}} ТЗ № 44
Выберите верное

þ 
o 
o 
o 
o 
278. Задание {{299}} ТЗ № 49
Выберите верное

þ -4,5
o -4
o -5,5
o -5
o -3,5
279. Задание {{300}} ТЗ № 50
Выберите верное

þ 1
o 2
o -1
o -2
o 3
280. Задание {{301}} ТЗ № 203

Эталон(ы) ответа: 2
281. Задание {{302}} ТЗ № 204

Эталон(ы) ответа: 3
282. Задание {{303}} ТЗ № 205

Эталон(ы) ответа: 2
283. Задание {{304}} ТЗ № 206

Эталон(ы) ответа: 0






