319. Задание {{305}} СЛАУ9
Единственное решение СЛАУ
по методу Крамера можно найти
по формуле:
o 
þ 
o 
o 
320. Задание {{306}} СЛАУ10
Когда однородная система ЛАУ имеет
только тривиальное решение?
o Когда определитель системы равен нулю
þ Когда определитель системы не равен нулю
o Когда определитель системы равен 1
321. Задание {{307}} СЛАУ13
По теореме Крамера система линейных
уравнений имеет единственное решение,
когда...
o 
þ 
o 
o 
322. Задание {{308}} СЛАУ14

o 
o 
þ 
o 
323. Задание {{309}} СЛАУ15
Прямой ход по методу Гаусса в
системе линейных уравнений означает:
o получение нулей на главной диагонали
þ получение нулей ниже или выше главной диагонали
o получение нулей в столбике правых частей
o получение как можно больше нулей в матрице коэффициентов системы
324. Задание {{310}} ТЗ № 194
Введите пропущенное слово

Эталон(ы) ответа: эквивалентными, эквивалентные, эквивалент#$#
325. Задание {{311}} ТЗ № 195
Введите пропущенное слово
|
|
|

Эталон(ы) ответа: минором, минор
326. Задание {{312}} ТЗ № 196
Введите пропущенное слово

Эталон(ы) ответа: алгебраическим, алгебраическое
327. Задание {{313}} ТЗ № 197
Введите пропущенное слово

Эталон(ы) ответа: вырожденной, вырожденная, вырожд#$#, особ#$#
328. Задание {{314}} ТЗ № 198
Введите пропущенное слово

Эталон(ы) ответа: невырожденная, не вырожденная, не особая, неособая
329. Задание {{315}} ТЗ № 199
Введите пропущенное слово

Эталон(ы) ответа: рангом, ранг
330. Задание {{316}} ТЗ № 200
Введите пропущенное слово

Эталон(ы) ответа: совместной, совместная, совмес#$#
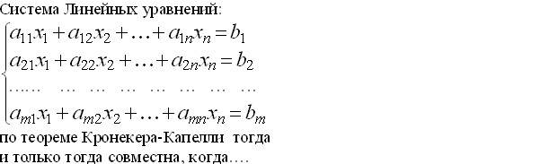
331. Задание {{317}} ТЗ № 201
Введите пропущенное слово

Эталон(ы) ответа: расширен#$#






