215. Задание {{217}} В1

o (15;1;1)
o (-5;5;13)
o (50;-6;-42)
þ (5;-5;-13)
216. Задание {{218}} В2

þ 
o 
o 
o 
217. Задание {{219}} В4
Выполните действия над векторами:
(5;1;3) - 3 (6;-4;2)
þ (-13;13;-3)
o (-1;5;1)
o (13;-13;3)
o (2;4;-6)
218. Задание {{220}} В5
Найдите координаты середины
отрезка А (5;3;1), В (3;1;-7).
þ (4;2;-3)
o (2;2;8)
o (1;1;4)
o (8;4;-6)
219. Задание {{221}} В8

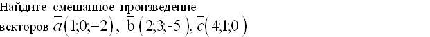
þ -16
o 6
o -22
o -720
220. Задание {{222}} В12

o 10i -17j +8k
þ -10i +17j -8k
o -11
o -120
221. Задание {{223}} В13

o -15
þ 25
o 20
o -25
ё
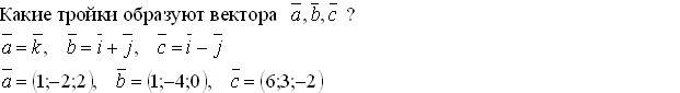
222. Задание {{224}} В19

o 
þ 
o 
o 
223. Задание {{225}} В20
Расстояние между точками В (-3;-4) и
Д (6;8) равно...
o 
o 
þ 
o 
224. Задание {{226}} ВА2

o 
o 
o 
þ 
225. Задание {{227}} ВА3

o 
þ 
o 
o 
226. Задание {{228}} ВА4

o 
þ 
o 
o 
227. Задание {{229}} ВА6

o 
o 
o 
þ 
228. Задание {{230}} ВА7

o 
o 
þ 
o 
229. Задание {{231}} ВА9

þ 
o 
o 
o 
230. Задание {{232}} ВА10

o 
þ 
o 
o 