284. Задание {{334}} ТЗ № 2

þ 
o 
o 
o 
285. Задание {{335}} ТЗ № 3

þ 
o 
o 
o 
286. Задание {{336}} ТЗ № 4

þ 
o 
o 
o 
287. Задание {{337}} ТЗ № 5

þ 
o 
o 
o 
288. Задание {{338}} ТЗ № 6

þ 
o 
o 
o 
289. Задание {{339}} ЧП1

o 
o 
þ 
o 
290. Задание {{340}} ЧП2

o 
þ 
o 
o 
291. Задание {{341}} ЧП3

o 
o 
o 
þ 
292. Задание {{342}} ЧП4

o 
þ 
o 
o 
293. Задание {{343}} ТЗ № 42
Вычислить значение частной производной по x от функции в точке (1;1)

þ 
o 
o 
o 
294. Задание {{344}} ТЗ № 43
Вычислить значение частной производной по y от функции в точке (1;1)

þ 
o 
o 
o 
295. Задание {{345}} ТЗ № 44
Вычислить значение частной производной по x от функции в точке (1;-1)

þ 
o 
o 
o 
296. Задание {{346}} ТЗ № 45
Вычислить значение частной производной по y от функции в точке (1;-1)

þ 
o 
o 
o 
297. Задание {{347}} ТЗ № 46
Вычислить значение частной производной по x от функции в точке (1;1)

þ 
o 
o 
o 
298. Задание {{348}} ТЗ № 47
Вычислить значение частной производной по y от функции в точке (1;-1)
|
|
|

þ 
o 
o 
o 
299. Задание {{349}} ТЗ № 48
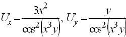
Вычислить значение частной производной по x от функции в точке (0;-1)

þ 
o 
o 
o 
300. Задание {{350}} ТЗ № 49
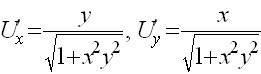
Вычислить значение частной производной по y от функции в точке (0;-1)

þ 0
o 1
o 2
o 3
301. Задание {{351}} ТЗ № 50
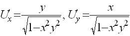
Вычислить значение частной производной по x от функции в точке (1;1)

þ 
o 
o 
o 
302. Задание {{352}} ТЗ № 41
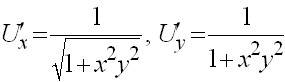
Вычислить значение частной производной по y от функции в точке (1;1)

þ 0
o 1
o 2
o 3






