Закон теплопроводности Фурье
В установившемся режиме поток энергии, передающейся посредством теплопроводности, пропорционален градиенту температуры: q=-λgrad(T)
где q — вектор потока тепла — количество энергии, проходящей в единицу времени через единицу площади, перпендикулярной каждой оси, λ— коэффициент теплопроводности (иногда называемый просто теплопроводностью), T — температура. Минус в правой части показывает, что тепловой поток направлен противоположно вектору grad T (то есть в сторону скорейшего убывания температуры). Это выражение известно как закон теплопроводности Фурье.
В интегральной форме это же выражение запишется так (если речь идёт о стационарном потоке тепла от одной грани параллелепипеда к другой):
где P — полная мощность тепловых потерь, S — площадь сечения параллелепипеда, ΔT — перепад температур граней, h — длина параллелепипеда, то есть расстояние между гранями.
Коэффициент теплопроводности измеряется в Вт/(м·K).
Коэффициент теплопроводности вакуума почти ноль (тем ближе к нулю, чем глубже вакуум). Это связано с низкой концентрацией в вакууме материальных частиц, способных переносить тепло. Тем не менее тепло в вакууме передаётся с помощью излучения. Поэтому для уменьшения теплопотери стенки термоса делают двойными, серебрят (такая поверхность хуже излучает и лучше отражает), а воздух между ними откачивают.
Примеры теплопроводности:алмаз 1001-2600, серебро430,золото320, кирпич строительный 0,2-0,7, пенобетон 0,14-0,3, вакуум 0
10. Диф-ое ур-ие теплопроводности для стац-го и нест-ого режима: а) одномерное; б) двумерное; в) трехмерное. Темп-ное поле: пр-ры одн-ных и неодн-ных темп-ных полей. Участки ОК, где формируются слож-ные темп-ные поля.
Уравнение диффузии или уравнение теплопроводности представляет собой частный вид диф-ого ур-я в частных производных. Бывает нестационарным и стационарным.
В случае одномерного диффузионного процесса с коэффициентом теплопроводности D уравнение имеет вид:
При постоянном D приобретает вид: 
где с(x,t)— концентрация диффундирующего вещества, a
- функция, описывающая источники вещества (тепла).
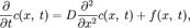
В трёхмерном случае уравнение приобретает вид:

где
— оператор набла, а
— скалярное произведение. Ур-ние также может быть записано как

а при постоянном D приобретает вид:
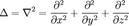
где
— оператор Лапласа.
n-мерный случай
n-мерный случай — прямое обобщение приведенного выше, только под оператором набла, градиентом и дивергенцией, а также под оператором Лапласа надо понимать n-мерные версии соответствующих операторов:


Это касается и двумерного случая n = 2.
Температурное поле - совокупность значений температур во всех точках рассматриваемого пространства в данный момент времени.






