Невосстанавливаемым называют такой элемент, который после работы до первого отказа заменяют на такой же элемент, так как его восстановление в условиях эксплуатации невозможно. В качестве примеров невосстанавливаемых элементов можно назвать диоды, конденсаторы, триоды, микросхемы, гидроклапаны, пиропатроны и т.п.
Пусть время работы невосстанавливаемого элемента представляет собой случайную величину τ. В момент времени t = 0 элемент начинает работать, а в момент t = τ происходит его отказ, следовательно, τ является временем жизни элемента. Таким образом, τ имеет случайный характер, и в качестве основного показателя надежности элемента можно назвать функцию распределения, которая выражается зависимостью вида:
F (t) = P (τ <t). (65)
Функцию F (t) называют также вероятностью отказа элемента до момента t. Если элемент работает в течение времени t непрерывно, то существует непрерывная плотность вероятности отказа
(66)
Следующим показателем надежности является вероятность безотказной работы за заданное время t или функция надежности, которая является функцией, обратной функции распределения
|
|
|
(67)
Графически функция надежности представляет собой монотонно убывающую кривую
(рис. 1; при t= 0 P (t =0)=l; при t →∞ P (t =∞)=0).
В общем виде вероятность безотказной работы испытуемых элементов конструкций определяется как отношение числа элементов оставшихся исправными в конце времени испытания к начальному числу элементов поставленных на испытание:
P (t) = (N - n)/ N, (68)
где N - начальное число испытуемых элементов; п - число отказавших элементов за t;
(N – п) = n0 - число элементов, сохранивших работоспособность.
Величина P (t) и вероятность появления отказа F в момент времени t связаны соотношением:
P (t) + F (t) = 1, (69)
откуда
F (t) = 1 – P (t) (70)
или
F (t) = 1 – n0 / N. (71)
Производная функции (68) по времени имеет вид:
d P (t)/d t = - (1/ N) d n /d t. (72)
При dt →0, это выражение является мгновенным значением плотности распределения времени безотказной работы f (t), т.е. (1/ N) d n /d t → f (t) или d P (t)/d t = - f (t) (73)
Учитывая, что P (t) = n0 / N выражение (72) можно записать в виде:
d n (t)/d t = - N. d P /d t = d n0 (t)/d t. (74)
Разделив обе части соотношения (74) на n 0(t) получим:
[1/ n0 (t)].d n (t)/d t = - [ N / n0 (t)].d P (t)/d t = λ(t), (75)
где λ(t) – интенсивность отказов.
Подставляя формулу (73) в соотношение (75) получаем выражение для мгновенного значения интенсивности отказов:
λ(t) = - [1/ P (t)]. d P (t)/d t = f (t)/ P (t). (76)
Вероятность безотказной работы из выражения (76) можно представить в виде:
- d P (t)/ P (t) = λ(t)d t. (77)
Интегрируя обе части уравнения (77) по времени в интервале [0, t ], получаем
t P (t)
∫λ(t)d t = - ∫[1/ P (t)]d P (t). (78)
0 1
При известных начальных условиях, т.е. при t = 0, когда P (t) = 1, это интегральное уравнение принимает вид:
|
|
|
t
- ∫λ(t)d t = ln P (t) (79)
Из формулы (79) получаем общее выражение для вероятности безотказной работы
t
P (t) = exp[-∫λ(t)d t)]. (80)
С помощью данного выражения можно получить формулу для вероятности безотказной работы любого элемента технической системы при любом известном распределении времени наработки на отказ.
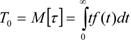
Важнейшим показателем невосстанавливаемого элемента является среднее время безотказной работы (Т0), которое определяют как математическое ожидание случайной величины
(81)
После преобразования:
∞ ∞ ∞ ∞
T0 = ∫ t f (t) d t = - t P (t)│ + ∫ P (t) d t = ∫ P (t) d t. (82)
0 0 0 0
Среднее время безотказной работы и среднюю наработку до отказа можно получить по результатам испытаний. Для этого нужно проводить испытания до тех пор, пока не откажет последний из элементов. Пусть время жизни каждого из элементов соответственно равно τ1, τ2,..., τ3. Тогда средняя наработка до отказа
(83)

Рис. 1.Кривая функции надежности.
Так как практически невозможно осуществить испытания всех элементов до отказа, то при большом значении п среднюю наработку до отказа можно определить по формуле
(84)
где n — число отказавших элементов, N — число элементов, поставленных на испытания.
Пример 1. На испытания поставлено N =100 элементов. Испытания проводились в течение t= 200 ч. В процессе проведения испытаний отказало n = 5 элементов, при этом отказы зафиксированы в следующие моменты: τ1 = 50 ч; τ2 = 80 ч; τ3 = 90ч; τ 4= 100 ч; τ5= 150 ч; остальные элементы не отказали. Определить среднюю наработку до отказа Т0.
Р е ш е н и е. Для решения задачи воспользуемся формулой (84)
T0 = [(50+80+90+100+150)+(100-5)200]/100 =194.7 ч.
Ответ: T0 = 194.7ч.
Если испытаниям подвергают N элементов и τ1, τ2,…τN—время их жизни, то статистическую дисперсию находят из выражения
N
S2 = 1/(N – 1) Σ(τi - τ)2 (85)
i= 1
где τ = (1/ N)Στi.
На практике в качестве оценки надежности чаще используют среднее квадратическое отклонение (σ), которое определяют как корень квадратный из дисперсии:
σ[τ]= (D [τ])1/2 (86)
Одной из важнейших характеристик надежности невосстанавливаемого элемента является интенсивность отказов, или опасность отказа, которая определяет надежность элемента в каждый данный момент времени. Интенсивность отказа находят по формуле
λ(t) = f (t)/ P (t) = - [d P (t)/d t ]/ P (t) = - P' (t)/ P (t). (87)
Вероятность безотказной работы в интервале (t1, t2) выражается зависимостью:
t2
P (t) = exp{- ∫λ(t) d t } (6.24)
t1
Функция λ(t) может быть определена по результатам испытаний. Предположим, что испытаниям подвергают N элементов. Пусть n (t) — число элементов, не отказавших к моменту t. Тогда при достаточно малом Δ t и достаточно большом N получим
λ(t) = Δ n /[Δ t n (t)], (88)
где Δ n — число отказов на участке Δ t.
Статистическая интенсивность отказов λ(t) равна отношению числа отказов, происшедших в единицу времени, к общему числу неотказавших элементов к этому моменту времени.
Многочисленные опытные данные показывают, что для многих элементов функция λ(t) имеет корытообразный вид (рис. 2).

Рис.2. Кривая интенсивности отказов во времени.
Анализ графика показывает, что время испытания можно условно разбить на три периода. В первом из них функция λ(t) имеет повышенные значения. Это период приработки
или период ранних отказов для скрытых дефектов. Второй период называют периодом нормальной работы. Для этого периода характерна постоянная интенсивность отказов. Последний, третий период — это период старения. Так как период нормальной работы является основным, то в расчетах надежности принимается λ(t) = λ = const. В этом случае при экспоненциальном законе распределения функция надежности имеет вид:
Р (t) = exp(- λ t). (89)
Среднее время жизни соответственно равно:
∞
|
|
|
T0 = ∫ exp(-λ t) d t = 1/λ. (90)
Поэтому функцию надежности можно записать и так:
Р (t) = еxp(- t / T0). (91)
Если время работы элемента мало по сравнению со средним временем жизни, то можно
использовать приближенную формулу
Р (t) ≈ 1 – t / T0 (92)
Пример 2. По данным эксплуатации генератора установлено, что наработка до отказа подчиняется экспоненциальному закону с параметром λ = 2·10-5 1/час.
Найти вероятность безотказной работы за время t = 100 часов. Определить математическое ожидание наработки до отказа.
Решение.
Определим вероятность безотказной работы по формуле (90):
P (t) = e-λt = exp(-2·10-5·100) = 0,998.
Математическое ожидание наработки до отказа определяем по формуле:
M 0 = 1/λ = 1/(2·10-5) = 5·104 ч.
Ответ: P (t) = 0,998; M 0 = 5·104 ч.
Пример 3. Построить кривую интенсивности отказов по данным табл.1. На испытания поставлено N элементов (N = 200), испытания проводились в течение t = 100 ч.
Таблица 1.
Результаты испытаний элемента (к примеру 3.)
| № п/п | ∆t, ч | ∆n | n (t) | № п/п | ∆t, ч | ∆n | n (t) |
| 0-10 | 50-60 | ||||||
| 10-20 | 60-70 | ||||||
| 20-30 | 70-80 | ||||||
| 30-40 | 80-90 | ||||||
| 40-50 | 90-100 |
Обозначения: Δ t — интервал испытаний; Δ n — число отказов; n (t) — число неотказавших элементов.
Для построения кривой (рис.3.) вычислим интенсивность отказов λ(ti) ч-1 по формуле (89):
λ(t1) = 10/(10·190) = 0,0052; λ(t2) = 8/(10·182) = 0,0044;
λ(t3) = 6/(10·176) = 0,0034; λ(t4) = 4/(10·172) = 0,0023;
λ(t5) = 2/(10·170) = 0,0011; λ(t6) = 2/(10·168) = 0,0011;
λ(t7) = 2/(10·166) = 0,0012; λ(t8) = 4/(10·162) = 0,0024;
λ(t9) = 5/(10·157) = 0,0032; λ(t10) = 8/(10·149) = 0,0053.
λ(t)10-3, ч-1

Рис. 3. Кривая интенсивности отказов во времени.