ПОТЕНЦИАЛ. ЭНЕРГИЯ СИСТЕМЫ ЭЛЕКТРИЧЕСКИХ ЗАРЯДОВ.
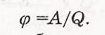
Потенциал электрического поля есть величина, равная отношению потенциальной энергии точечного положительного заряда, помещенную в данную точку поля, к этому заряду

или потенциал электрического поля есть величина, равная отношению работы сил поля по перемещению точечного положительного заряда из данной точки поля в бесконечность к этому заряду:

Потенциал электрического поля в бесконечности условно принят равным нулю.
Отметим, что при перемещении заряда в электрическом поле работа А внешних сил равна по модулю работе Асм сил поля и противоположна ей по знаку:

· Потенциал электрического поля, создаваемый точечным зарядом на расстоянии r от заряда,

Потенциал электрического поля, создаваемого металлической, несущий заряд Q сферой радиусом R, на расстоянии r от центра сферы:
внутри сферы (r < R) 
на поверхности сферы (r = R) 
вне сферы (r > R) 
Во всех приведенных для потенциала заряженной сферы формулах? есть диэлектрическая проницаемость однородного безграничного диэлектрика, окружающего сферу.
|
|
|
· Потенциал электрического поля, созданного системой п точечных зарядов, в данной точке в соответствии с принципом суперпозиции электрических полей равен алгебраической сумме потенциалов φ1,φ2, φп2, создаваемых отдельными точечными зарядами Q1, Q2, Qn:

· Энергия W взаимодействия системы точечных зарядов Q1, Q2, Qn определяется работой, которую эта система зарядов может совершить при удалении их относительно друг друга в бесконечность, и выражается формулой:

где φ? — потенциал поля, создаваемого всеми п -1 зарядами (за исключением i- го) в точке, где расположен заряд Q?.
· Потенциал связан с напряженностью электрического поля соотношением

В случае электрического поля, обладающего сферической симметрией, ни связь выражается формулой

или в скалярной форме

а в случае однородного поля, т. е. поля, напряженность которого в каждой его точке одинакова как по модулю, так и по направлению

где φ1 и φ2 — потенциалы точек двух эквипотенциальных поверхностей; d - расстояние между этими поверхностями вдоль электрической силовой линии.
· Работа, совершаемая электрическим полем при перемещении точечного заряда Q из одной точки поля, имеющей потенциал φ1 в другую, имеющую потенциал φ2

где El — проекция вектора напряженности Е на направление перемещения; dl — перемещение.
В случае однородного поля последняя формула принимает вид
A = QEl cosα,
где i — перемещение; α — угол между направлениями вектора Е и перемещения i.
· Диполь есть система двух точечных электрических зарядов равных по размеру и противоположных по знаку, расстояние i между которыми значительно меньше расстояния r от центра диполя до точек наблюдения.
|
|
|
Вектор L, проведенный от отрицательного заряда диполя к его положительному заряду, называется плечом диполя.
Произведение заряда |Q| диполя на его плечо i называется электрическим моментом диполя:

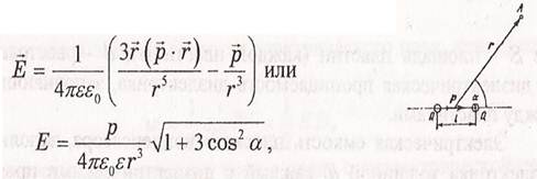
· Напряженность поля диполя

где р - электрический момент диполя; r - модуль радиуса-вектора, проведенного от центра диполя к точке, напряженность поля в которой нас интересует; α -угол между радиусом-вектором r и плечом i диполя.
· Потенциал поля диполя

· Механический момент, действующий на диполь с электрическим ми ментом р, помещенный в однородное электрическое поле с напряженностью Е

где α - угол между направлениями векторов р и Е.
В неоднородном электрическом поле кроме механического момента (пары сил) на диполь действует еще некоторая сила. В случае поля, обладающем симметрией относительно оси x, сила выражается соотношением

где
— частная производная напряженности поля, характеризующая степени неоднородности поля в направлении оси х.
При α > π/2 сила Fx положительна. Это значит, что под действием ее диполь втягивается в область сильного поля.
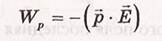
· Потенциальная энергия диполя в электрическом поле
