· Сила постоянного тока
I=Q/t,
где Q - количество электричества, прошедшее сечение проводника за время t.
· Плотность электрического тока есть векторная величина, равная отношению силы тока к площади S поперечного сечения проводника:

где к - единичный вектор, по направлению совпадающий с направлением движения положительных носителей заряда.
· Сопротивление однородного проводника

где ρ - удельное сопротивление вещества проводника; l - его длина.
· Проводимость G проводника и удельная проводимость γ вещества

· Зависимость удельного сопротивления от температуры

где ρ и ρ0 - удельные сопротивления соответственно при t и 0 °С; / -температура (по шкале Цельсия); α - температурный коэффициент сопротивления.
· Сопротивление соединения проводников:
последовательного 
параллельного 
Здесь Ri - сопротивление i -го проводника; п - число проводников.
· Закон Ома:
для неоднородного участка цепи 
для однородного участка цепи 
для замкнутой цепи 
Здесь (φ 1 - φ 2) - разность потенциалов на концах участка цепи; Ɛ 12 – ЭДС источников тока, входящих в участок; U - напряжение на участке цепи; R - сопротивление цепи (участка цени); Ɛ - ЭДС всех источников тока цепи.
|
|
|
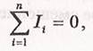
• Правила Кирхгофа.
Первое правило: алгебраическая сумма сил токов, сходящихся в узле
равна нулю, т.е.

где п - число токов, сходящихся в узле.
Второе правило: в замкнутом контуре алгебраическая сумма напряжений на всех участках контура равна алгебраической сумме электродвижущих сил, т.е.

где Ii - сила тока на i-м участке; Ri - активное сопротивление на м участке; Ɛi - ЭДС источников тока на i-м участке; п - число участков, содержащих активное сопротивление; к - число участков, содержащих источники тока.
· Работа, совершаемая электростатическим полем и сторонними силами в участке цепи постоянного тока за время t

· Мощность тока

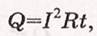
· Закон Джоуля – Ленца

где Q - количество теплоты, выделяющееся в участке цепи при протекании постоянного тока за время t.
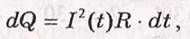
В случае переменного тока количество теплоты, выделяющееся за малое время dt

где I(t) - мгновенная сила тока.
Закон Джоуля - Ленца справедлив при условии, что участок цепи неподвижен и в нем не совершаются химические превращения.






