1. Назовите следующие соединения:
1) 2) 3)

2. Напишите структурные формулы соединений:
| 1) 3-этилциклопентен; | 2) 2-изопропил-1-этил- циклобутан; | 3) 1,1-диметил-4-этил- циклогептан; |
| 4) 4-гексил-2,3-диметил циклооктен; | 5) 3,3-диэтилциклогепта- диен-1,4; | 6) бицикло [ 4,3,2] ундекан; |
| 7) спиро [3,6] декадиен-1,6; | 8) 2,5-диметилбицикло [3,2,1] нонадиен-2,6. |
4.2. Ароматические углеводороды. Ароматические бензоидные углеводороды классифицируют по числу бензойных колец на жирноароматические, моноциклические и полициклические, последние в свою очередь включают изолированные и конденсированные углеводороды.
Для некоторых моноциклических, замещенных ароматических углеводородов, сохраняются тривиальные названия (1-9), прочие углеводороды называют как производные бензола. В тех случаях, когда боковая цепь достаточно длинная, то соединение называют как производное углеводорода, соответствующее числу углеродных атомов боковой цепи. Положение заместителей указывают цифрами, за исключением тех случаев, когда при наличии всего двух заместителей вместо 1,2-, 1,3- или 1,4- могут быть поставлены обозначения орто- (о-), мета- (м-) или пара- (п-), соответственно (4-6). Нумерацию кольца проводят таким образом, чтобы заместители имели наименьшие локанты (направление нумерации не имеет значения).
|
|
|
1) 2) 3) 4) 5)



бензол толуол кумол орто-ксилол мета-ксилол
6)
7) 8) 9)

пара-ксилол цимол мезитилен стирол
Тривиальная номенклатура одновалентных радикалов производных аренов, имеющих свободные валентности у атомов кольца (10-12) или в боковой цепи (13-14), приведена ниже:
10) 11) 12) 13) 14)
![]() | ![]() | ![]() |
фенил п-толил о-ксилил бензил стирил
Полициклические конденсированные ароматические углеводороды сохранили тривиальные названия, преимущественно с суффиксом «-ен» (18-21), исключение – нафталин (15). Название углеводородов, имеющих пять и более бензольных колец при их строго линейном расположении, образуется из численных префиксов с суффиксом «-ацен» (22). Присоединение других циклов обозначается префиксом, соответствующим названию компонента с указанием номеров общих углеродных атомов (23). Правильно ориентированную полициклическую систему нумеруют по направлению движения часовой стрелки, начиная от углеродного атома, находящегося в правом верхнем углу и не участвующего в соединении колец. Атомы, общие для двух или более колец, при нумерации пропускают. Для антрацена, фенантрена и циклопентанфенантрена принят тривиальный способ нумерации (18,19,23).
15) 16) 17) 18)
![]() |
нафталин 1-метилнафталин 2-метилнафталин антрацен
19) 20) 21)
![]() |
фенантрен пирен нафтацен

22) 23)

гексацен 16, 17 – дигидро-15Н-циклопентанфенантрен
|
|
|
Полициклические изолированные ароматические углеводороды, соединенные друг с другом с помощью одинарной или двойной связи и состоящие из трех и более одинаковых углеводородных циклов, называют, с указанием префикса перед названием повторяющегося звена. Применяются следующие числовые префиксы: три (тер-), четыре (кватер-), пять (квинкве-), шесть (секси-) и т.д. (25,26). Соединения, состоящих из двух одинаковых циклов, называют с использованием приставки «би», помещаемой перед названием соответствующего радикала или углеводорода, причем одна система нумеруется обычными цифрами, а другая - цифрами со штрихами (например, 1,1/ - би циклопропил или 1,1/ - би циклопропан). Исключение составляет название «ди фенил» закрепленное за системой, состоящей из двух бензольных колец (24). Названия углеводородов, содержащих одновременно циклы и боковые цепи, начинают с названия радикала в качестве префикса, соответствующего циклическому углеводороду, затем указывают название алифатического соединения (27,28), если имеются заместители в радикале, то нумерацию циклов обозначают со штрихом.
24) 25) 26)

дифенил терфенил кватерфенил

27) 28)
![]() |
трифенилметан дифенилметан
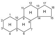
Гидрированные производные обозначаются префиксами «дигидро-»-, «тетрагидро-» (29), полную гидрогенизацию обозначают префиксом «пергидро-» (30-32) и т.д. и далее указывают название соответствующих углеводородов. Для обозначения гидрированных производных нумерацию осуществляют так, чтобы гидрированные атомы имели наименьшие номера (29). Для производных пергидрофенантрена, распространенных в природе, принята тривиальная нумерация углеродных атомов.
29) 30) 31) 32)
![]() | ![]() | ||
1,2,3,4-тетрагидро-, пергидронафталин, пергидроантрацен циклопетан-
нафталин, **тетралин **декалин пергидрофенантрен














