Пример: уравновесить массы
, вращающиеся на одном валу.

Каждый дисбаланс раскладываем
на 2 параллельных:

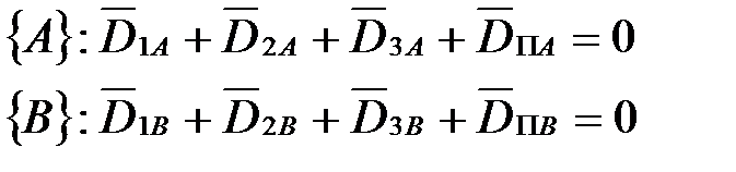
Условие уравновешенности:

Строим многоугольники дисбалансов: 


28 Статическое уравновешивание масс плоских рычажных механизмов (методом статического размещения масс).
Уравновешивание масс механизмов.
Для механизмов в целом чаще всего ограничиваются статическим уравновешиванием, когда 

, то есть общий центр масс всего механизма должен быть неподвижным.
Рассмотрим задачу статического уравновешивания масс кривошипно – ползунного механизма:
Статическое размещение масс.
Согласно этому методу, твердое тело
заменяется системой сосредоточенных
(точечных) масс, которые обладают той
же массой и тем же расположением
центра масс, что и заменяемое тело.

Из этих уравнений находим:

В результате в точке “A” сосредоточена вращающаяся масса: 
В точке “B” – поступательно движущаяся масса.
На продолжении звена “2” в точке “C” устанавливаем противовес, массу которого
находим из условия, что бы центр масс
, оказался точке “A”.

В точке “D” устанавливаем противовес, массу которого находим из условия, что бы центр масс
оказался в точке “O”.
После установки обоих противовесов общий центр масс общий центр масс механизма окажется в неподвижной точке “O”, где достигается статическое уравновешивание.






