При тахеометрической съемке много времени тратится на вычисление превышений и горизонтальных проложений. За один рабочий день обычно набирают 400 - 500 пикетов, а специалисты высокой квалификации - до 1000 пикетов; на обработку такого объема приходится тратить несколько часов, при этом неизбежны разного рода ошибки, для исключения которых превышения и горизонтальные проложения выбирают из таблиц во вторую руку. Существенную пользу может дать применение программируемого микрокалькулятора.
В инструкции по съемкам написано: "Тахеометрическая съемка производится, как правило, тахеометром-автоматом, и, как исключение, - теодолитом- тахеометром". Тахеометр-автомат отличается от теодолита-тахеометра тем, что превышение и горизонтальное проложение вычисляют в уме по дальномерным отсчетам, используя простые формулы:
S = C * lS, (7.13)
h' = K * lh, (7.14)
где C и K - постоянные коэффициенты (обычно C = 100 и K = 10 или K = 20),
lS и lh - дальномерные отсчеты по рейке.
Для сравнения напишем формулы для вычисления превышения и горизонтального проложения для обычного нитяного дальномера:
|
|
|
S = (C * l + c) * Cos2ν, (7.15)
h' = 0.5 * (C * l + c) Sin2ν. (7.16)
Чем отличаются формулы тахеометра-автомата от этих формул? Во-первых, в них нет малой постоянной " c " нитяного дальномера; это достигается применением в трубе дополнительной линзы, которая смещает вершину диастимометрического угла на ось вращения прибора. Зрительная труба, у которой c=0, называется аналлатической. Во-вторых, нет функций угла наклона ν. В-третьих, для горизонтального проложения имеется своя постоянная C и свой дальномерный отсчет lS, а для превышения - своя постоянная K и свой дальномерный отсчет l h.
Тахеометр-автомат называют еще номограммным тахеометром, так как сетка нитей в его трубе имеет вид номограммы или диаграммы (рис. 7.8-б); у обычного теодолита дальномерные нити - это два симметричных относительно центральной горизонтальной нити параллельных штриха (рис. 7.8-а) на расстоянии p=fоб/C один от другого. Расстояние между линиями номограммы тахеометра-автомата переменное и зависит от угла наклона трубы.

рис. 7.8
Теория тахеометра-автомата заключается в выводе формул:
ps = ps (fоб, C, ν), p h = p h (f об , K, n).
Нарисуем упрощенную схему измерения горизонтального проложения S и превышения h (рис.7.9). На рисунке: точка J - вершина диастимометрического угла φ, l - отсчет по рейке, соответствующий углу φ ν - угол наклона визирной линии, наведенной на нуль рейки, i - высота прибора, V - высота нуля рейки.

Рис.7.9
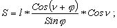
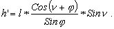
Из треугольника JON выразим горизонтальное проложение S и превышение нуля рейки относительно горизонта инструмент а h':
|
|
|
S = JN = JO * Cos ν, (7.17)
h' = ON = JO * Sin ν. (7.18)
Из треугольника JKO выразим отрезок JO, а из треугольника KOG - отрезок OG:

OG = l * Cos(ν + φ).
Подставим последовательно OG в формулу для JO и затем JO - в формулы (7.17) и (7.18):



Распишем косинус суммы двух углов
Cos(ν + φ) = Cosν * Cosφ - Sinν * Sinφ
и преобразуем дробь в формулах (7.19) и (7.20)

Тогда
S = l * Cosν * (Cosν * Ctgφ - Sinν), (7.21)
h' = l * Sinν * (Cosν * Ctgφ - Sinν). (7.22)
Сравнивая эти формулы с формулами (7.13) и (7.14), замечаем, что:
C = Cosν * (Cosν * Ctgφ - Sinν), (7.23)
K = Sinν * (Cosν * Ctgφ - Sinν). (7.24)
Коэффициенты C и K - это постоянные величины, поэтому для выполнения равенств (7.23) и (7.24) при любых значениях угла наклона ν диастимометрический угол φ должен изменяться в зависимости от угла ν. Раскроем скобки и выразим Ctgφ через функции угла ν:
(7.25)
(7.26)
С другой стороны известно, что Ctgφ = fоб/p, где fоб - фокусное расстояние объектива, а p - расстояние между дальномерными нитями. Фокусное расстояние объектива - величина для данной трубы постоянная, поэтому для изменения φ или Ctgφ нужно изменять расстояние между дальномерными нитями по закону: - для горизонтальных проложений:
(7.27)
- для превышений:
(7.28)
Формулы (7.27) и (7.28) окончательные; они показывают, что в тахеометре-автомате расстояние между дальномерными нитями сетки должно автоматически изменяться с изменением угла наклона трубы, причем дальномерная нить горизонтальных проложений и дальномерная нить превышений не совпадают. Конструктивно это делается так: в поле зрения трубы передается та часть номограммы, которая соответствует данному углу наклона трубы.






