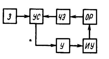
Системой автоматического регулирования называют устройство, управляющие по определенному закону одним или несколькими параметрами технологического процесса. Система автоматического регулирования температуры обычно разрабатываются по единой структурной схеме.

3 - задатчик
УС - устройство сравнения
ЧЭ - чувствительный датчик
ОР - объект регулирования
ИУ- исполнительное устройство
У - усилитель
Температура термической установки прямо пропорционально подводимой мощности питания. Так как при разогреве нагревательных элементов из молибдена или вольфрама их сопротивление возрастает в десятки раз, чтобы не перегружать источник питания по току, установку разогревают при пониженном напряжения.
Блоки питания на терристорах – высоким быстродействием и КПД, малые габариты и низкой стоимостью, а на магнитных усилителях - высокой надежностью.
Двухпозиционное регулирование - периодически включаются на номинальную мощность, а потом полностью отключаются.
Трехпозиционное регулирование - полная мощность, частичная мощность, отключение.
Позиционное регулирование - низкая точность.
Диффузионные процессы требуют точность ± 0,5*С на длине 600 мм. Регуляторы, используемые в системах автоматического регулирования, работают по одному из четырех основных законов: пропорциональному (П), интегральному (И), пропорционально-интегральному (ПИ) и пропорционально-интегрально-дифферинциальному (ПИД).
Регуляторы пропорционального действия (П-регуляторы).