Средние показатели динамики - средний уровень ряда, средние абсолютные изменения и ускорения, средние темпы роста - характеризуют тенденцию. Они необходимы при обобщении характеристик тенденции за длительный период, по различным периодам и незаменимы при сравнении развития за неодинаковые по длительности отрезки времени, при выборе аналитического выражения тренда. При наличии в динамическом ряду существенных колебаний уровней определение средних показателей тенденции требует применения специальных методов статистики, которые излагаются в последующих разделах. В данном разделе рассматривается только форма, математические свойства средних показателей динамики и простейшие приемы их вычисления, применимые на практике к рядам со слабой колеблемостью.
Средний уровень интервального ряда динамики определяется как простая арифметическая средняя из уровней за равные промежутки времени:

или как взвешенная арифметическая средняя из уровней за неравные промежутки времени, длительность которых и является весами. -
По данным табл. 9.1 определим среднегодовые уровни урожайности картофеля по пяти-шестилетиям:

Средние уровни принято условно относить к середине интервала времени, т. е. для пятилетия 1986—1990 гг. - к 1988 г., для шестилетия 1991-1996 - к середине между 1993 и 1994 гг., т. е. к 1993,5.
Если, например, с 1-го числа месяца по 18-е число на предприятии работали 45 человек, с 19-го по 27-е - 48 человек, а с 28-го по 31 -е число - 54 человека, то среднее списочное число работников за месяц составит:

В моментном ряду роль, смысл среднего уровня в том, что он характеризует уже не состояние объекта в отдельные моменты, а его среднее, обобщенное состояние между начальным и конечным моментом учета. Из этого следует, что роль уровней, отно-t сящихся к начальному и конечному моменту, существенно иная, чем роль уровней на моменты внутри изучаемого отрезка времени. Начальный и конечный уровни находятся на границе изучаемого интервала, они наполовину относятся к предыдущему и последующему интервалам и лишь наполовину к изучаемому. Уровни, относящиеся к моментам внутри осредняемого интервала, целиком относятся только к нему. Отсюда получаем особую форму средней арифметической величины, называемой хронологической средней:

Проблема вычисления среднего уровня моментного ряда при неравных промежутках между моментами является спорной и здесь не рассматривается.
Если известны точные даты изменения уровней моментного ряда то средний уровень определяется как

где ti - время, в течение которого сохранялся уровень.
Средний абсолютный прирост (абсолютное изменение) определяется как простая арифметическая средняя из абсолютных изменений за равные промежутки времени (цепных абсолютных изменений) или как частное от деления базисного абсолютного изменения на число осредняемых отрезков времени от базисного до сравниваемого периода:

Как уже сказано в п. 9.1, при наличии существенной колеблемости уровней средний абсолютный прирост (изменение), как и средний темп следует вычислять, отделив сначала тренд от колебаний (соответствующая методика будет изложена ниже). Прямое определение среднего абсолютного прироста по крайним уровням ряда допустимо, если нет существенных колебаний уровней. Например, добыча угля в России довольно равномерно снижалась с 337 млн т в 1992 г. до 262 млн т в 1995 г[9].
По формуле (9.14) среднее годовое сокращение добычи угля составило:
25 млн т в год. Итак, добыча угля в период 1992 - 1995 гг. в среднем за год снижалась на 25 млн т в год, или на 2,08 млн т в месяц.
Для правильной интерпретации показатель среднего абсолютного изменения должен сопровождаться указанием двух единиц времени: 1) время, за которое он вычислен, к которому относится и которое он характеризует (в нашем примере это трехлетие - 1992 - 1995);
2) время, на которое показатель рассчитан, время, входящее в его единицу измерения, - 1 год. Можно рассчитать среднемесячный прирост за пятилетие, среднесуточное изменение за год, за месяц, за квартал.
Среднее ускорение абсолютного изменения применяется реже. Для его надежного расчета даже при слабых колебаниях уровней требуется применять методику аналитического выравнивания по параболе II порядка (см. п. 9.5 и 9.6). Не рекомендуется измерять среднее ускорение без абстрагирования от колебаний уровней. Для более грубого, приближенного расчета среднего ускорения можно воспользоваться средними годовыми уровнями, сглаживающими колебания. Например, среднегодовое производство мяса в Российской Федерации составляло:
Годы 1976 - 1980 1981 - 1985 1986 - 1990
Млн т 7,40 8,09 9,68
Абсолютный прирост за второе пятилетие в сравнении с первым составил 0,69 млн т, за третье в сравнении со вторым - 1,59 млн т. Следовательно, ускорение в третьем пятилетии по сравнению со вторым составило 1,59 - 0,69 = 0,90 млн т в год за пять лет, а среднегодовое ускорение прироста равно: 0,90: 5 = 0,18 млн т в год за год. Среднее ускорение требует указания трех единиц времени, хотя, как правило, две из них одинаковы: период, на который рассчитан прирост, и время, на которое рассчитано ускорение.
Средний темп изменения определяется наиболее точно при аналитическом выравнивании динамического ряда по экспоненте (см. п. 9.5 и 9.6). Если можно пренебречь колеблемостью, то средний темп определяют как геометрическую среднюю (см. гл. 5) из цепных темпов роста за п лет или из общего (базисного) темпа роста за п лет:

Например, стоимость потребительской корзины за год в результате инфляции возросла в 6 раз. Каков средний месячный темп инфляции?

т.е. в среднем за месяц цена увеличивалась на 16% к уровню предыдущего месяца.
Средний темп роста так же, как средний прирост, следует сопровождать указанием двух единиц времени: 1) периода, который им характеризуется; 2) периода, на который рассчитан темп. Например, среднегодовой темп за последнее десятилетие; среднемесячный темп за полугодие и т.п.
Если исходной информацией служат темпы прироста и нужно вычислить их среднегодовую величину, то предварительно следует все темпы прироста превратить в темпы роста, прибавив 1, или 100%, вычислить их среднюю геометрическую и снова вычесть 1, или 100%. Интересно, что ввиду асимметрии темпа прироста и темпа сокращения при равных их величинах общий темп прироста всегда отрицателен. Так, если за первый год объем производства вырос на 20%, а за второй снизился на 20% (темпы цепные), то за два года имеем:

Как отмечалось в главе 5, применяя для вычисления среднего темпа среднюю геометрическую, мы опираемся на соблюдение фактического отношение конечного уровня к начальному при замене фактических темпов на средние. В практических задачах может потребоваться вычисление среднего уровня при условии соблюдения отношения суммы уровней за период к уровню, принятому за базу. Например, если общий выпуск продукции за пятилетие должен составить 800% к базисному (среднегодовому за предыдущие 5 лет выпуску), или, что то же самое, среднегодовой уровень должен составить 160% к базовому уровню, каков должен быть среднегодовой темп роста выпуска продукции? В 1974 г. украинские статистики А. и И. Соляники предложили следующую приближенную формулу для среднего темпа роста, удовлетворяющую этому условию:

где т - число суммируемых уровней;
у0 - базисный уровень.

Расчет по этому среднегодовому темпу дает сумму выпуска за 5 лет в 8,069 раза больше базисной, т.е. приближение хорошее. В общем виде проблема параболических темпов исследована саратовским статистиком Л. С. Казинцом в книге «Темпы роста и абсолютные приросты» (М.: Статистика, 1975). Им составлены таблицы, с помощью которых, зная отношение суммы уровней к базисному уровню и число суммируемых уровней т, можно получить knap. Таблица Л. С. Казинца рассчитана на основе нахождения корней уравнения:

Для нашего примера таблица Л. С. Казинца дает среднегодовой темп роста 116,1% и сумму выпуска в 8,00016 раза больше базисной.
Если необходимо определить средний темп изменения, исходя из заданной на п периодов суммы абсолютных изменений, то следует использовать формулу (9.17):

| Годы | Добыча, млн т | Абсолютный прирост, млн т/год |
| 262 - 262·1,09476 =.286,8 286,8·1,09476=314,0 314,0·1,09476 = 343,8 343,8·1,09476 = 376,3 376,3·1,09476 = 412,0 | - 24,8 27,2 29,8 32,5 35,7 | |
| Итого | 1732,9 | 150,0 |
Интересную задачу представляет определение срока, за который ряд с большим средним показателем динамики, но меньшим начальным уровнем догонит другой ряд с большим начальным уровнем, но меньшим показателем динамики.


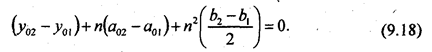
Та же задача может быть решена на основе ускорений. Имеем первый ряд с базисным уровнем у01, базисным абсолютным изменением a01 и средним ускорением b1; второй ряд - с показателями у02, а02, b02. При каком числе п периодов (лет) после базисного уровня рядов сравняются?
Тенденции рядов параболические:

Приравняв правые части уравнений, получим: '

или

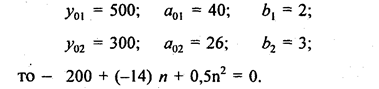
Искомый срок п является корнем этого квадратного уравнения. Если, например, имеем:

Откуда

Второй ряд догонит первый по уровню через 38,4 года; в прошлом уровни рядов были одинаковы 10,4 года назад. Будущие равные уровни составляют 3510, а прошлые были равны 192.
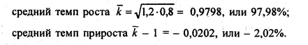
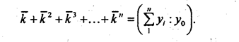
Если мы хотим найти срок п, через который уровни рядов сравняются, то эту задачу можно решить и на основе средних темпов динамики.
Имеем:

Логарифмируя это равенство получаем:

| Откуда |

т. е. искомый срок равен частному от деления разности логарифмов уровней рядов в базисном периоде на разность логарифмов темпов изменения, только переставленных при вычитании. Обычно и в числителе, и в знаменателе от большего логарифма вычитается меньший. Например, первый ряд имеет у10 = 300; k1 =1,09; второй ряд имеет у110 100; k11 = 1,2. Тогда:

Через 11,43 года уровень второго ряда сравняется с первым при сохранении экспоненциальных трендов обоих рядов.