Об особенностях измерения динамики относительных величин, в том числе и долей было сказано в п. 9.3. Здесь излагаются показатели, характеризующие не изменение отдельной доли, а изменение структуры в целом, т. е.«структурный сдвиг». Нередко под этим понятием Понимают хорошо и давно известные индексы влияния изменения структуры на среднюю Величину относительного показателя, например, показателей эффективности: производительности труда, себестоимости продукции, урожайности, рентабельности и т. п. Эти индексы измеряют не величину самого изменения структуры, а его влияние (они рассмотрены в гл. 10).
Обратимся к примеру (табл. 11.10).
Таблица 11.10
Изменение структуры ВВП России*
| Направления использования ВВП | Доля d0j | в% d1j | |d1j-d0j| | |d0j-d1j|2 | |
| Потребление домохо зяйств | 33,7 | 42,1 | 8,4 | 70,56 | 0,249 |
| Потребление государственных учреждений и некоммерческих организаций | 16,2 | 23,7 | 7,5 | 56,25 | 0,463 |
| Валовое накопление | 35,7 | 28,6 | 7,1 | 50,41 | 0,199 |
| Сальдо экспорта-импорта | 14,4 | 5,6 | 8,9 | 77,44 | 0,611 |
| Итого | 31,8 | 254,66 | 1,522 | ||
| * Источник: Россия в цифрах. 1996: Крат. стат. ежегодник. – М.: Финансы и статистика – С. 171. |
Эти данные свидетельствуют о существенном изменении долей ВВП, использованных на разные цели. Обобщающим абсолютным показателем изменения структуры может служить сумма модулей абсолютных изменений долей, выраженная в процентных пунктах:

В 1995 г. по сравнению с 1992 г. это абсолютное изменение, обозначенное Ad, составило 31,8 процентных пункта.
Расчет среднего абсолютного изменения, приходящегося на одну долю (группу, единицу совокупности) не дает никакой добавочной информации, ибо отношение среднего изменения к величине средней доли тождественно суммарному изменению в отношении к сумме долей, равной единице. Зато очень важно определить, насколько сильно произошедшее изменение структуры в сравнении с предельно возможной величиной суммы модулей. Логически ясно, что максимальная сумма модулей изменения долей равна 2. Например, была одна доля в пределе равная 0, другая равная 1, а в следующем периоде наоборот. Сумма модулей разности долей равна 2. Теперь можно построить показатель степени интенсивности абсолютного структурного сдвига KAd:

По данным табл. 11.10.
Изменение структуры использования ВВП страны на 16% всего за 3 года следует признать весьма быстрым. Чтобы избежать взаимопогашения разных по знаку изменений долей, вместо модулей можно применить квадраты и получить квадратическую меру абсолютного структурного сдвига, в форме среднего квадратического изменения долей:
(11.8)
По данным табл. 11.10.
= 7,98 процентных пункта.
В данном случае, все доли изменились почти на одинаковое число пунктов, поэтому средняя квадратическая величина почта, равна арифметической средней: 31,8: 4 = 7,95. При резко различных изменениях долей квадратическое изменение ближе к наибольшему из изменений, чем арифметическая средняя. Предельная величина суммы квадратов изменения долей также равна 2, как и сумма модулей изменений долей, так как 12 = 1 (-1)2 = 1. Для четырех долей максимальное значение sd = Ö2̅ ̅: ̅4̅ =0,71. Фактическое значение составило 0,0798: 0,71 =0,112 или 11,2% максимального.
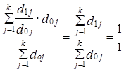
Абсолютные показатели изменения долей не учитывают величины долей базисного периода, т. е. считается, что изменение доли на 10 процентных пунктов равнозначно, была ли доля до этого равна 2% или 50%. Такой подход недостаточен. Ведь первая из долей при увеличении на 10 процентных пунктов возросла в 6 раз, а вторая только на одну пятую часть. Очевидно, изменение структуры следует охарактеризовать и относительным показателем, измеряющим среднее относительное изменение долей. Рассмотрим построение этого показателя. Средний темп изменения долей, взвешенный по величине базисных долей, тождественно равен 1:
.
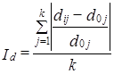
Невзвешенный средний темп изменения при разных долях не обязательно равен 1, но из-за взаимопогашения темпов, больших 1 и темпов, меньших 1, близок к 1 и ничего не говорит о мере изменения структуры. Наиболее информативным оказывается среднее относительное линейное изменение (темп прироста) по модулю:
. (11.9)
По данным табл. 11.10 эта величина составляет:.
или 38,1 % (а не пункта).
Этот показатель означает, что при изменении структуры использования ВВП России произошел в среднем 38-й процентный сдвиг - изменение роли статей в итоге. Величина Id предела не имеет, так как малая доля может возрасти в бесконечно большое число раз. Использовать необходимо лишь простую среднюю из относительных.изменений долей, так как средняя величина, взвешенная по базисным долям, как легко можно убедиться, всегда равна ранее рассмотренному абсолютному изменению Аd.
К. Гатевым, С. В. Курышевой, Т. Н. Агаповой предложен еще ряд показателей относительного изменения структуры, о которых желающие расширить свои знания могут прочитать в указанной в конце главы литературе.






