| Вид вотума | Результаты голосования, % | Paнги вотумов | ||||
| I | II | III | II | III | ||
| За пинятие Против Воздержались | ||||||
| Итого | - | - |
При втором голосовании в сравнении с первым произошло существенное изменение структуры вотумов: абсолютное изменение (по модулю) A^2/i =17+3+14= 34 процентных пункта, среднее изменение по 11,33 пункта на элемент. Абсолютный сдвиг при третьем голосовании в сравнении со вторым намного скромнее: Аd2/1 = 6+5+1=12 или по 4 пункта на элемент структуры. Однако, качественное различие структур второго и третьего голосований принципиально, а различие второго и первого голосований не принципиально. И в первом и во втором голосовании законопроект не принят, а в третьем он одобрен. Это качественное различие проявилось в изменении рангов вотумов. Аналогичную ситуацию имеем в ряде других явлений. Так в результате экзаменационной сессии ранг («место», занятое группой) может быть гораздо важнее (скажем - группа, занявшая I и II места, награждаются путевкой, ценным призом) чем величина различия в долях отличников, «хорошистов», троечников и двоечников. Изменение рангов статей платежного баланса страны, рангов статей в структуре ВПП может иметь гораздо большее экономическое значение, чем даже значительный абсолютный структурный сдвиг без изменения рангов.
На основе изменения рангов долей можно построить два показателя:
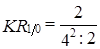
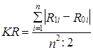
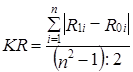
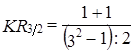
1. Линейный коэффициент изменения рангов долей. Обозначим его KR. Он представляет собой отношение фактической суммы модулей изменения рангов к предельно возможной сумме модулей при п элементах структуры, равной (п2: 2) для четного и (п2 - 1): 2 для нечетного п:
или
. (11.10)
По данным табл. 11.11 этот коэффициент составил
= 0,5 или 50%.
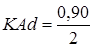
Изменение рангов на 50% максимального, конечно, является существенным преобразованием структуры. Если подсчитать по ней ранги долей по данным табл. 11.10 получим:
= 0,25, или 25% максимального, что также следует признать значительным изменением. О социально-экономическом значении этого изменения («хорошо» или «плохо») можно спорить, ибо сокращение доли накопления, да еще приабсолютном снижении всего объема ВВП, подрывает перспективы роста экономики в будущие годы.
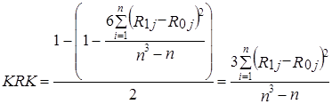
2.1 Квадратический коэффициент изменения рангов долей KRK. Для его построения используем известный коэффициент корреляции оангов Спирмена (см. гл. 8).
При полном совпадении рангов долей в базисном и текущем периодах коэффициент Спирмена равен +1. При максимальном изменении рангов (первый становится последним, порядок рангов «переворачивается») коэффициент Спирмена составит -1, следовательно максимальное значение изменения коэффициента Спирмена равно 2. Чтобы построить показатель степени интенсивности изменения рангов элементов структуры, следует отклонение фактического коэффициента Спирмена от единицы разделить на 2. Получим формулу KRK:
, (11.11)
где R1i и R0i - ранги долей элементов структуры в базисном и отчетном периодах.
Измерим с помощью этого показателя структурный сдвиг в распределении банков Санкт-Петербурга по сумме активов, рассматривая только банки, действовавшие и в 1994, и в 1995 гг. (табл. 11.12). Что касается измерения сдвига с обновлением состава элементов структуры, эта проблема рассмотрена ниже.
или 1,13%, что говорит об устойчивости иерархии петербургских банков, изменение их рангов за год было несущественным.
Рассмотрим, в заключение инновационные показатели изменения структуры, т. е. характеристики степени обновления ее качественного состава и элементов. Воспользуемся в качестве примера таблицей из уже упоминавшейся монографии Т. Н. Агаповой (табл. 11.13).
Линейный коэффициент интенсивности абсолютного структурного сдвига
= 0,45 или 45% максимального.
Таблица 11.12






