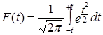
1. Значение интеграла вероятностей 
| t t | Сотые доли | |||||||||
| 0,0 0,1 0,2 0,3 0,4 0,5 0,6 0,7 0,8 0,9 1,0 1,1 1,2 1,3 1,4 1,5 1,6 1,7 1,8 1,9 2,0 2,1 2,2 2,3 2,4 2,5 2,6 2,7 2,8 2,9 3,0 3,1 3,2 3,3 3,4 3,5 | 0000 0797 1585 2358 3108 3829 4515 5161 5763 6319 6817 7287 7699 8064 8385 8664 8904 9108 9281 9425 9545 9643 9722 9785 9836 9876 9907 9931 9949 9963 99730 99807 99863 99903 99933 99953 | 0080 0876 1663 2434 3182 3899,4581 5223 5821 6372 6875 7330 7737 8098 8415 8690 8926 9127 9297 9438 9556 9652 9729 9791 9840 9879 9909 9933 9950 9964 99739 99813 99867 3,6 3,7 3,8 | 0160 0955 1741 2510 3255 3969 4647 5285 5878 6424 6923 7373 7775 8132 8444 8715 8948 9146 9312 9451 9566 9660 9736 9797 9845 9883 9912 9935 9952 9965 99747 99819 99872 99911 99937 99957 | 0239 1034 1819 2586 3328 4039 4713 5346 5935 6476 6970 7415 7813 8165 8473 8740 8969 9164 9327 9464 9576 9669 9743 9802 9849 9886 9915 9937 9953 9966 99755 99825 99876 3,9 4,0 4,2 | 0319 1114 1897 2661 3401 4108 4778 5467 5991 6528 7017 7457 7850 8198 8501 8764 8990 9182 9342 9476 9586 9676 9749 9807 9853 9889 9917 9939 9955 9967 99763 99831 99880 999904 999937 999973 | 0399 1192 1974 2737 3473 4177 4843 5497 6047 6579 7063 7499 7887 8230 8529 8788 9011 9199 9357 9488 9596 9684 9755 9812 9857 9892 9920 9940 9956 9968 99771 99837 99884 4,4 4,6 4,8 | 9969 99779 99842 99888 9999892 9999957 9999984 | 0558 1350 2128 2886 3616 4313 4971 5587 6157 6679 7154 7580 7959 8293 8584 8836 9051 9233 9385 9512 9615 9700 9768 9822 9866 9898 9926 9944 9959 9970 99786 99847 99892 5,0 5,0 6,0 | 0638 1428 2205 2961 3688 4381 5035 5646 6211 6729 7199 7620 7995 8324 8611 8859 9070 9249 9399 9523 9625 9707 9774 9827 9869 9901 9927 9946 9960 9971 99793 99853 99896 | 99900 99999943 99999996 999999998 |
Значение t-критерия Стьюдента при уровне значимости
0,10, 0,05, 0,01
| Число степеней свободы d. f. | Р | d.f. | Р | ||||
| 0,10 | 0,05 | 0,01 | 0,10 | 0,05 | 0,01 | ||
| 6,3138 2,9200 2,3534 2,1318 2,0150,9432,8946,8595,8331,8125,7959,7823,7709,7613,7530,7459,7396 | 12,706 4,3027 3,1825 2,7764 2,5706 2,4469 2,3646 2,3060 2,2622 2,2281 2,2010 2.1788 2,1604 2,1448 2,1315 2,1199 2,1098 | 63,657 9,9248 5,8409 4,6041 4,0321 3,7074 3,4995 3,3554 3,2498 3,1693 3,1058 3,0545 3,0123 2,9768 2,9467 2,9208 2,8982 | ∞ | ,7341,7291,7247.7207,7171,7139,7109,7081,7056,7033,7011 1,6991 1,6973 1,6839 1,6707 1,6577 1,6449 | 2,1009 2,0930 2,0860 2,0796 2,0739 2,0687 2,0639 2,0595 2,0555 2,0518 2,0484 2,0452 2,0423 2,0211 2,0003 1,9799 1,9600 | 2,8784 2,8609 2,8453 2,8314 2,8188 2,8073 2,7969 2,7874 2,7787 2,7707 2,7633 2,7564 2,7500 2,7045 2,6603 2,6174 2,5758 |
Значение F-критерия Фишера при уровне значимости 0,05
| d.f.2 | d.f.1 d.f; d.f; | ||||||||||||||||
| l | ∞ | ||||||||||||||||
| ∞ | 161 18,51 10,13 7,71 6,61 5,99 5,59 5,32 5,12 4,96 4,84 4,75 4,67 4,60 4,54 4,49 4,45 4,41 4,38 4,35 4,32 4,30 4,28 4,26 4,24 4,22 4,21 4,20 4,18 4,17 4,08 4,03 4,00 3,94 3,84 | 200 19,00 9,55 6,94 5,79 5,14 4,74 4,46 4,26 4,10 3,98 3,88 3,80 3,74 3,68 3,63 3,59 3,55 3,52 3,49 3,47 3,44 3,42 3,40 3,88 3,37 3,35 3,34 3,33 3,32.3,23 3,18 3,15 3,09 2,99 | 216 19,16 9,28 6,59 5,41 4,76 4,35 4,07 3,86 3,71 3,59 3,49 3,41 3,34 3,29 3,24 3,20 3,16 3,13 3,10 3,07 3,05 3,03 3,01 2,99 2,98 2,96 2,95 2,93 2,92 2,84 2,79 2,76 2,70 2,60 | 225 19,25 9,19 6,39 5,19 4,53 4,12 3,84 3,63 3,48 3,36 3,26 3,18 3,11 3,06 3,01 2,96 2,93 2,90 2,87 2,84 2,82 2,80 2,78 2,76 2,74 2,73 2,71 2,70 2,69 2,61 2,56 2,52 2,46 2,37 | 230 19,30 9,01 6,26 5,05 4,39 3,97 3,69 3,48 3,33 3,20 3,11 3,02 2,96 2,90 2,85 2,81 2,77 2,74 2,71 2,68 2,66 2,64 2,62 2,60 2,59 2,57 2,56 2,54 2,53 2,45 2,40 2,37 2,30 2,21 | 234 19,33 8,94 6,16 4,95 4,28 3,87 3,58 3,37 3,22 3,09 3,00 2,92 2,85 2,79 2,74 2,70 2,66 2,63 2,60 2,57 2,55 2,53 2,51 2,49 2,47 2,46 2,44 2,43 2,42 2,34 2,29 2,25 2,19 2,09 | 237 19,36 8,88 6,09 4,88 4,21 3,79 3,50 3,29 3,14 3,01 2,92 2,84 2,77 2,70 2,66 2,62 2,58 2,55 2,52 2,49 2,47 2,45 2,43 2,41 2,39 2,37 2,36 2,35 2,34 2,25 2,20 2,17 2,10 2,01 | 19,37 8,84 6,04 4,82 4,15 3,73 3,44 3,23 3,07 2,95 2,85 2,77 2,70 2,64 2,59 2,55 2,51 2,48 2,45 2,42 2,40 2,38 2.36 2,34 2,32 2,30 2,29 2,28 2,27 2,18 2,13 2,10 2,03 1,94 | 19,38 8,81 6,00 4,78 4,10 3,68 3,39 3,18 3,02 2,90 2,80 2,72 2,65 2,59 2,54 2,50 2,46 2,43 2,40 2,37 2,35 2,32 2,30 2,26 2,27 2,25 2,24 2,22 2,21 2,12 2,07 2,04 1,97 1,88 | 19,39 8,78 5,96 4,74 4,06 3,63 3,34 3,13 2,97 2,86 2,76 2,67 2,60 2,55 2,49 2,45 2,41 2,38 2,35 2,32 2,30 2,28 2,26 2,24 2,22 2,20 2,19 2,18 2,16 2,07 2,02 1,99 1,92 1,83 | 243 19,40 8,76 5,93 4,70 4,03 3,60 3,31 3,10 2,94 2,82 2,72 2,63 2,56 2,51 2,45 2,41 2,37 2,34 2,31 2,28 2,26 2,24 2,22 2,20 2,18 2,16 2,15 2,14 2,12 2,04 1,98 1,95 1,88 1,79 | 244 19,41 8:74 5.91 4,68 4,00 3,57 3,28 3,07 2,91 2,79 2,69 2,60 2,53 2,48 2,42 2,38 2,34 2,31 2,28 2,25 2,23 2,20 2,18 2,16 2,15 2.13 2,12 2,10 2,09 2,00 1.95 1,92 1,85 1,75 | 245 19,42 8,71 5,87 4,64 3,96 3,52 3,23 3,02 2,86 2,74 2,64 2,55 2,48 2,43 2,37 2,33 2,29 2,26 2,23 2,20 2,18 2,14 2,13 2,11 2,10 2,08 2,06 2,05 2,04 1,95 1,90 1.86 1,79 1,69 | 246 19,43 8,69 5,84 4,60 3,92 3,49 3,20 2,98 2,82 2,70 2,60 2,51 2,44 2,39 2,33 2,29 2,25 2,21 2,18 2,15 2,13 2,10 2,09 2,06 2,05 2.03 2,02 2,00 1,99 1,90 1,85 1,81 1,75 1,64 | 248 19,44 8,66 5,80 4,56 3,87 3,44 3,15 2,93 2,77 2,65 2,54 2,46 2,39 2,33 2,28 2,23 2,19 2,15 2,12 2,09 2,07 2,04 2,02 2,00 1,99 1,97 1,96 1,94 1,93 1,84 1,78 1,75 1,68 1,57 | 250 19,46 8,62 5,74 4,50 3,81 3,38 3,08 2,86 2,70 2,57 2,46 2,38 2,31 2,25 2,20 2,15 2,11 2,07 2,04 2,00,98,96 ,94 ,92 ,90 ,88 ,87 ,85 ,84 ,74 ,69 ,65 ,57 ,46 | 254 19,50 8,53 5,63 4,36 3.67 3,23 2,93 2,71 2,54 2,40 2,30 2,21 2,13 2,07 2,01 1,96 1,92 1,88 1,84 1,81 1,78 1,76 1,73 1,71 1,69 1,67 1,65 1,64 1,62 1,.51 1,44 1,39 1,28 1,00 |
d.f.1 – число степеней свободы для юольшей дисперсии; d.f.2 - число степеней свободы для меньшей дисперсии.
4. Значение χ2-критерия Пирсона при уровне значимости
0,10, 0,05, 0,01
| d.f. | 0,10 | 0,05 | 0,01 | d.f. | 0,10 | 0,05 | 0,01 |
| 2,71 4,61 6,25 7,78 9,24 10,64 12,02 13,36 14,68 50,99 17,28 18,55 19,81 21,06 22,31 23,54 24,77 25,99 27,20 28,41 | 3,84 5,99 7,81 9,49 11,07 12,59 14,07 15,51 16,92 18,31 19,68 21,03 22,36 23,68 25,00 26,30 27,59 28,87 30,14 31,14 | 6,63 9,21 11,34 13,28 15,09 16,81 18,48 20,09 21,67 23,21 24,72 26,22 27,69 29,14 30,58 32,00 33,41 34,81 36,19 37,57 | 29,62 30,81 32,01 33,20 34,38 35,56 36,74 37,92 39,09 40,26 51,80 63,17 74,40 85,53 96,58 107.56 118,50 | 32,67 33,92 35,17 36,42 37,65 38,89 40,11 41,34 42,56 43,77 55,76 67,50 79,08 90,53 101,88 113,14 124,34 | 38,93 40,29 41,64 42,98 44,31 45,64 46,96 48,28 49,59 50,89 63,69 76,15 88,38 100,42 112,33 124,12 135,81 |






