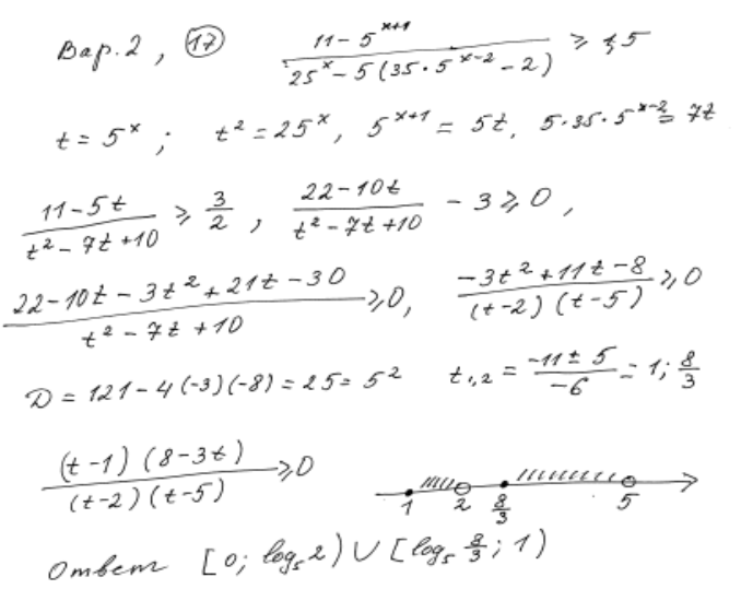
Решите неравенство
Ответ: 

Критерии выставления 1 балла
«Обоснованно получен ответ, отличающийся от верного ответа исключением точек х = 0 и/или х =
; ИЛИ
получен неверный ответ из-за вычислительной ошибки, но при этом имеется верная последовательность всех шагов решения».






