

| Содержание критерия | Баллы |
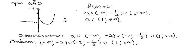
С помощью верного рассуждения получено множество значений a, отличающееся от искомого только включением точек и/или
| |
С помощью верного рассуждения получен один из промежутков множества значений a: или ; возможно, с включением граничных точек и/или исключением точки
| |
Верно найдена хотя бы одна из граничных точек множества значений a: или ; ИЛИ получено хотя бы одно из уравнений или
|
и/или
или
; возможно, с включением граничных точек и/или исключением точки
или






