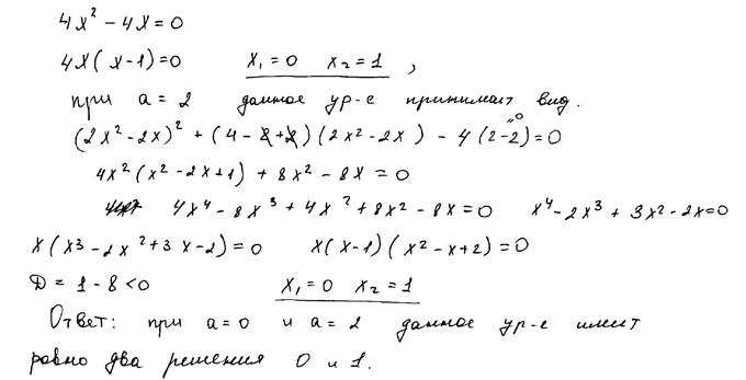
Найдите все значения
, при которых уравнение

имеет ровно два решения. Ответ:
; 0;
.


| Содержание критерия | Баллы |
| Обоснованно получен правильный ответ | |
С помощью верного рассуждения получено множество значений a, отличающееся от искомого только включением точки
| |
С помощью верного рассуждения получен промежуток множества значений a, возможно, с включением точки
| |
Верно найдено хотя бы одно из значений a: или ;
ИЛИ верно найдена граничная точка множества значений a,
ИЛИ получено хотя бы одно из уравнений или
| |
| Решение не соответствует ни одному из критериев, перечисленных выше | |
| Максимальный балл |
или
;
ИЛИ верно найдена граничная точка
или






