В декартовой системе вектор положения задается в виде
,
где
координаты вектора, а
,
– ортонормированный базис, т. е. базисные векторы единичные и взаимно - перпендикулярные (рис. 3.1,а). В этом случае координаты равны проекциям вектора на оси, задаваемые базисными векторами:
.
Векторы скорости и ускорения:
,
а их модули 
3.2. Скорость и ускорение в цилиндрической системе координат
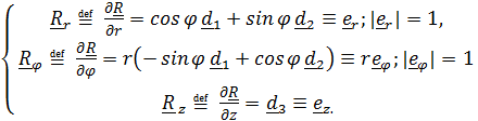
Вектор положения задается как функция цилиндрических координат
:
(3.2)
В цилиндрической системекоординат (рис. 3.1,б), каки в любой другой системе, базисныевекторы вводятся как частные производные по координатам от
:
(3.3)
Базисные векторы направлены по касательным к координатным линиям – линиям, получающимся при изменении только одной координаты.
| Рис. 3.1.Описание движения точки
|
Использование единичных базисных векторов
удобно тем, что координаты вектора в единичном базисе имеют ту же размерность, что и сам вектор.
Дифференцируя (3.2), получим с учетом (3.3):
. (3.4)
Дифференцируя (3.4) и учитывая, что
, получим:
. (3.5)