Воздействия (силы и моменты) характеризуются главным вектором сил
и главным моментом
относительно произвольной опорной точки. Запишем формулу, связывающую моменты относительно двух точек – опорной точки
и так называемой точки приведения 
. (2.9)
Если есть такая точка приведения
, относительно которой главный момент
равен нулю, то говорят, что система приводится к равнодействующей, приложенной в точке приведения. Из формулы(2.9)
следует,что приведение к равнодействующей возможно, только если главный момент
и главный вектор
перпендикулярны. При этом множество точек приведения к равнодействующей находятся на прямой, уравнение которой найдем, умножив векторно формулу
на вектор
(рис. 2.8a):
, (2.10)
где
произвольный параметр.
Рассмотрим систему параллельных сил
где
проекция
на направление, задаваемое ортом
. Главный вектор
и главный момент
перпендикулярны, поэтому система приводится к равнодействующей.
| dz |
| R |
| z |
| Рис. 2.8. Центр параллельных сил (а) и центр тяжести (б) |
| A |
|
|
|
| ⦁ P |
| а) |
| б) |
Покажем, что в этом случае на прямой (2.10) существует такая точка приведения
, называемая центром параллельных сил, положение которой не|
|
|
изменяется при повороте всех сил на произвольный угол (точки приложения сил не изменяются).
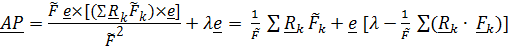
Подставляя выражения
и
в (2.10) и раскрывая двойное векторное произведение, получим
.
Чтобы это выражение не зависело от направления сил (вектора
), надо принять
и вектор положения центра параллельных сил:
.(2.11)
Частный случай параллельных сил – силы тяжести, действующие на точки тела. Если тело небольшого размера, то можно пренебречь различием в направлении сил (к центру Земли) и различиями в величине сил ввиду разного расстояния до центра Земли. Тогда центр тяжести совпадает с центром масс

Оценим различие в положениях центра масс и центра тяжести «высокого» тела, например, небоскреба (рис 2.8,б). Обозначим
линейная плотность массы. Сила тяжести, действующая на элемент массы
равна
, где
ускорение на поверхности Земли.
Суммарная сила тяжести
; координата центра тяжести
. Заменяя
, получим
. Для высоты
получим, что центр тяжести ниже центра масс всего на 






