Этот способ применяется, когда точка движется по заданной линии (траектории). Уравнением
задается линия, по которой движется точка; закон движения по ней
, где
– дуговая координата, т. е. длина дуги со знаком.
Базисные векторы
, называемые натуральным триэдром, вводятся следующим образом (рис.3.1,в):
– единичный вектор (орт) касательной,
где
– кривизна,
– орт главной нормали,
– единичный вектор бинормали.
Векторы
лежат в так называемой соприкасающейся плоскости – предельном при
положении плоскости, содержащей
(s) и
(s+
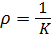
. Кривизна
характеризует скорость изменения направления касательной; обратную ей величину
называют радиусом кривизны траектории.
Вектор скорости
, (3.6)
где
является проекцией (единственной) вектора скорости на направление касательной и может быть любого знака.
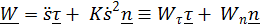
Дифференцируя еще раз, получаем вектор ускорения
.
Производную
запишем как производную сложной функции:
, тогда
, (3.7)
где
касательное (тангенциальное) ускорение,
– нормальное ускорение.
«Кинематический» подход часто используется дпя вычисления кривизны траектории при координатном способе задания движения. Вычисляется скорость
и ее значение
; ускорение
и его значение
; касательное ускорение
, (либо
); нормальное ускорение
и радиус кривизны
.






