Эквивалентными воздействиями в теоретической механике называют воздействия, которые при замене одной системы воздействий на другую не изменяют движения (в частности, состояния покоя) тела. Если рассматривается твердое тело, т. е. тело, находящееся в покое или совершающее жесткое движение, то, как следует из законов механики, необходимыми условиями эквивалентности являются равенства главных векторов и главных моментов воздействий.
Рассмотрим наиболее часто встречающиеся в учебных задачах статики случаи равномерной (рис. 2.7,а), линейно–распределенной (рис. 2.7,б) и гидравлической (рис. 2.7,в) нагрузок.
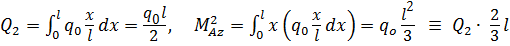
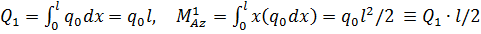
При равномерно–распределенной нагрузке ее линейная плотность (сила на единицу длины)
, для линейно–распределенной
.
| Рис. 2.7. Распределенная нагрузка
|
Найдем главные векторы и проекции на ось Z главных моментов относительно, например, точки А. Имеем
;
.
В случае гидравлической
, нормальной к круглой арке нагрузки, найдем «приложенные» к точке А силы
,
.
Полученные формулы показывают, что для быстрого составления уравнений равновесия удобно заменить распределенные нагрузки сосредоточенными силами
. Собственно говоря, применение эквивалентности на этом и заканчивается.
В учебных задачах на равновесие систем тел необходимым элементом является определение реакций в соединениях этих тел, например, в шарнирах. Для получения правильного результата следует при разделении тела по шарниру заменить распределенную нагрузку на участках по разные стороны от шарнира сосредоточенными силами

,
но не на одну силу 
(см.рис.).
Заметим, что распространение понятия «эквивалентность» на произвольную систему материальных точек [2] и тем самым на деформируемое тело, вообще лишено смысла, поскольку в этом случае понятие эквивалентности сводится лишь к замене одной силы в точке суммой сил в этой же самой точке.