Понятие «мгновенный центр скоростей» прочно вошло в практику решения учебных задач графоаналитическим способом, при котором векторные величины изображаются на рисунках.
Из основной формулы кинематики твердого тела (4.3) ясно, что если угловая скорость
, то можно найти такую точку P, скорость которой равна нулю – эта точка и называется мгновенным центром скоростей.
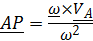
Для определения неизвестного вектора
из уравнения 
умножим его слева векторно на
и, раскрывая двойное векторное произведение, получим:
откуда
. (4.4)
Формула (4.4) предполагает, разумеется, известными
, но во многих случаях мгновенный центр скоростей можно найти другими способами.
Из основной формулы
, где в качестве полюса выбран мгновенный центр скоростей, следует, что:
а)
– скорость всякой точки В перпендикулярна
,
б)
– скорость точки В пропорциональна расстоянию до точки P.
Рассмотрим наиболее часто встречающиеся случаи.
Тело катится без проскальзывания. Мгновенный центр скоростей находится в точке касания тела с неподвижной поверхностью (рис.4.2,а).
Если известна скорость одной точки A и линия, вдоль которой может быть направлена скорость другой точки B, то мгновенный центр скоростей находится на пересечении перпендикуляров к скоростям. В этом случае вычисляется величина угловой скорости
, определяется ее направление и, соответственно, скорость точки В (рис 4.2,б).
Если перпендикуляры не пересекаются, то
(мгновенно – поступательное движение) и скорости всех точек равны:
(рис.4.2,в).
| Рис. 4.2. Мгновенный центр скоростей
|
Если перпендикуляры слились, то мгновенный центр находится на пересечении линии, соединяющей концы векторов скорости и общего перпендикуляра (рис.4.2,г).