Лекция 7
Аппроксимация функций
Введение
Когда обрабатывается выборка экспериментальных данных, то они, чаще всего, представляются в виде массива, состоящего из пар чисел (xi,yi). Поэтому возникает задача аппроксимации дискретной зависимости y(xi) непрерывной функцией f(x).
Аппроксимацией (приближением) функции
называется нахождение такой функции
(аппроксимирующей функции), которая была бы близка заданной.
Функция f(x), в зависимости от специфики задачи, может отвечать различным требованиям.
· Функция f(x) должна проходить через точки (xi,yi), т. е. f(xi)=yi,i=1...n. В этом случае говорят об интерполяции данных функцией f(x) во внутренних точках между xi, или экстраполяции за пределами интервала, содержащего все xi.
· Функция f(x) должна некоторым образом (например, в виде определенной аналитической зависимости) приближать y(xi), не обязательно проходя через точки (xi,yi). Такова постановка задачи регрессии, которую во многих случаях также можно назвать сглаживанием данных.
· Функция f(x) должна приближать экспериментальную зависимость y(xi), учитывая, к тому же, что данные (xi,yi) получены с некоторой погрешностью, выражающей шумовую компоненту измерений. При этом функция f(x), с помощью того или иного алгоритма уменьшает погрешность, присутствующую в данных (xi,yi). Такого типа задачи называют задачами фильтрации. Сглаживание - частный случай фильтрации.
|
|
|
Критерии близости функций
и
могут быть различные.
В том случае, когда приближение строится на дискретном наборе точек, аппроксимацию называют точечной или дискретной.
В том случае, когда аппроксимация проводится на непрерывном множестве точек (отрезке), аппроксимация называется непрерывной или интегральной. Примером такой аппроксимации может служить разложение функции в ряд Тейлора, то есть замена некоторой функции степенным многочленом.
Наиболее часто встречающим видом точечной аппроксимации является интерполяция (в широком смысле).
Пусть задан дискретный набор точек
, называемых узлами интерполяции, причем среди этих точек нет совпадающих, а также значения функции
в этих точках. Требуется построить функцию
, проходящую через все заданные узлы. Таким образом, критерием близости функции является
.
В качестве функции
обычно выбирается полином, который называют интерполяционным полиномом.
В том случае, когда полином един для всей области интерполяции, говорят, что интерполяция глобальная.
В тех случаях, когда между различными узлами полиномы различны, говорят о кусочной или локальной интерполяции.
Найдя интерполяционный полином, мы можем вычислить значения функции
между узлами (провести интерполяцию в узком смысле слова), а также определить значение функции
даже за пределами заданного интервала (провести экстраполяцию).
|
|
|
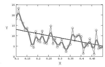
Различные виды построения аппроксимирующей зависимости f(x) иллюстрирует рис. 1. На нем исходные данные обозначены кружками, интерполяция отрезками прямых линий - пунктиром, линейная регрессия - наклонной прямой линией, а фильтрация - жирной гладкой кривой.

Рис. 1. Виды построения аппроксимирующей зависимости