В настоящее время среди методов локальной интерполяции наибольшее распространение получила интерполяция сплайнами (от английского слова spline – гибкая линейка).
В большинстве практических приложений желательно соединить экспериментальные точки (xi,yi)не ломаной линией, а гладкой кривой. Лучше всего для этих целей подходит интерполяция у(x) квадратичными или кубическими сплайнами, т. е. отрезками квадратичных или кубических парабол (см. рис.4).
При этом строится интерполяционный полином третьей степени, проходящий через все заданные узлы и имеющий непрерывные первую и вторую производные.

Рис.4 Сплайн-интерполяция
На каждом интервале
интерполирующая функция является полиномом третьей степени

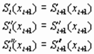
и удовлетворяет условиям
.
Если всего n узлов, то интервалов –
. Значит, требуется определить
неизвестных коэффициентов полиномов. Условие дает нам n уравнений. Условие непрерывности функции и ее первых двух производных во внутренних узлах интервала дает дополнительно
уравнений

Всего имеем
различных уравнений. Два недостающих уравнения можно получить, задавая условия на краях интервала. В частности, можно потребовать нулевой кривизны функции на краях интервала, то есть
. Задавая различные условия на концах интервала, можно получить разные сплайны.
|
|
|
Для осуществления сплайновой аппроксимации MathCAD предлагает четыре встроенные функции. Три из них служат для получения векторов вторых производных сплайн-функций при различном виде интерполяции:
cspIine(VX, VY) — возвращает вектор VS вторых производных при приближении в опорных точках к кубическому полиному;
pspline(VX, VY) — возвращает вектор VS вторых производных при приближении к опорным точкам к параболической кривой;
lspline(VX, VY) — возвращает вектор VS вторых производных при приближении к опорным точкам прямой.
Наконец, четвертая функция