Вычислить следующие интегралы:
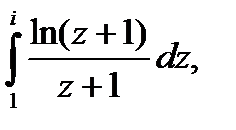
1.
g:|z|=1 (-p£argz£0) Ответ: 
2.
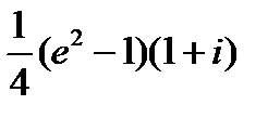
g-прямая, соединяющая точки z1=0, z2=1+ i (Ответ
)
3.
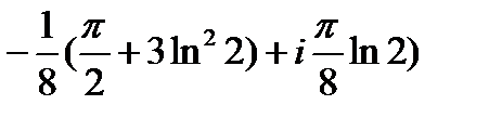
по дуге окружности |z|=1, Im³0, Rez³0 (Ответ
)
Вычислить следующие интегралы:
1.
g:|z|=1 (-p£argz£0) Ответ: 
2.
g-прямая, соединяющая точки z1=0, z2=1+ i (Ответ
)
3.
по дуге окружности |z|=1, Im³0, Rez³0 (Ответ
)
|
|