Пусть на комплексной плоскости Cz задана гладкая или кусочно-гладкая кривая
=AB.Если кривая замкнута, то A=B. Установим положительное направление на кривой, считая точку A первой, если кривая незамкнутая. Если кривая замкнута, то положительным направлением обхода будем считать движение против часовой стрелки.
Предположим, на AB задана непрерывная ограниченная функция f(z). Точками
А=z0<z1<z2<zn=B. Кривую АВ разобьем на элементарные дуги
, m=1, 2, 3,… n. Нумерация точек производится в направлении от точки A к В. Обозначим
DZm = Zm- Zm-1 m=1,2,3,…n. На каждой дуге Zm-1Zm выберем по одной точке
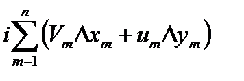
m и образуем сумму
dn=
m (26.1)
Сумма (4.1) называется интегральной суммой Римана для функций f (z) по кривой AB=
.
Определение 26.1 Конечный предел этой суммы при условии, что
где
=max|
m|, если этот предел не зависит ни от способа разбиения кривой, ни от способа выбора точек
m. называется интегралом от функций f (z) по кривой
и обозначается
(26.2)
При этом функция f(z) называется интегрируемой по кривой
.
Пусть z=x+iy, f(z)=U(x,y)+iV(x,y)
|
|
|
Введем обозначения Zm= х m+i y m хm- хm-1=
хm
уm- уm-1=
уm, 
Тогда 
+ 
Где 
Переходя в этом равенстве к пределу, при l
, получаем
(26.3)
Следовательно, существование интеграла
равносильно существованию следующих двух криволинейных интегралов от действительных функций:
Udx-Vdy,
Vdx+Udy
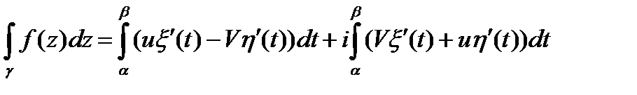
Если кривая
задана параметрическим уравнением
Z=
(t) =
(t) +i
(t), a
t
,
то в формуле (26.3)
и, следовательно,

(26.4.)
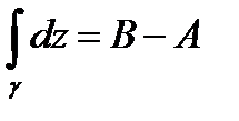
Пример 26.1. Пусть f(z)=1. A и B- соответственно начало и конец кривой
. Тогда интегральная сумма (26.1) равна
(zm-zm-1)=z1-z0+z2-z1...+zn-zn-1=zn-z0=B-A
Откуда
. Таким образом,
зависит только от начальной и конечной точке кривой
и не зависит от пути интегрирования.В этом случае вместо
можно записать
. В частности, если A=B то
=0, т.е. интеграл
по любой замкнутой кривой равен нулю.






