Из формулы (26.3) следует, что непрерывная на кривой функция интегрируема на этой кривой. Из свойств криволинейных интегралов вытекает так же, что имеют место следующие формулы:
1.
[ а f(z)+bg(z)]dz=
f(z)dz+b
g(z)dz, (26.5)
где а и в – любое комплексные числа (линейность интеграла)
2.
f(z)dz= -
f(z)dz (26.6)
т.е. при изменении ориентации кривой интеграл меняет знак.
3.
f(z)dz=
f(z)dz+
f(z)dz (26.7)
4. |
f(z)dz|£
|f(z)| dz
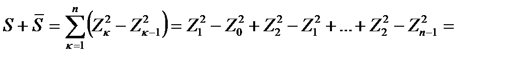
Пример 26.2. Пусть f(z)=Z,
-кривая с началом в точке A и концом в точке B. Так как функция f(z)=Z непрерывна на кривой
, то интеграл
zdZ существует. предел (26.2) не зависит от выбора точек
,
. Положим
= Zk-1, тогда
zdz=
, где
S=
Zk-1(Zk-Zk-1). Полагая
=Zk, получаем
zdz=
, где
=
Zk(Zk-Zk-1)
Следовательно,
zdz=(1/2)
(S +
),
= 
Откуда находим
zdz=
(B2-A2)
Таким образом, интеграл
zdz не зависит от пути интегрирования. В частности, интеграл
zdz по любой замкнутой кривой равен нулю.
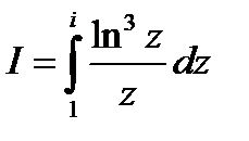
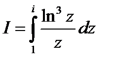
Пример.26.3. Вычислить интеграл

По дуге окружности |z|=1 (lnz - главное значение логарифма ln1=0)
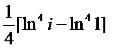
Решение. Первый способ. Применяя формулу Ньютона-Лейбница, получим:
=
=
=
= =
=
=
;
|
|
|
Второй способ. Делаем замену переменной
lnz=W, dW= 
Дуга окружности, z=1 переходит в отрезок мнимой оси заключенной между точками (0, 0) и (0,
).
Интеграл примет вид
;
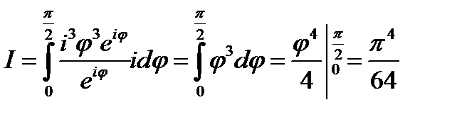
Третий способ. Положим
z=e ij (Здесь r=|z|=1),
тогда lnz=ij, dz=ieijdj
Действительная переменная
изменяется в пределах 0<
<
/2. В этом случае получаем
;






