Необратимое преобразование кинетической энергии автомобиля в тепловые потоки колесных тормозных механизмов, трансмиссии и двигателя, работающего в режимах принудительного холостого хода или компрессора, можно обеспечить только при вращении колес дорогой и мостами вопреки действию тормозных моментов Мт – задаваемых приводом РТС помех вращению колес дорогой и распределенной между колесами массой mа.
Согласно экспериментальным данным разных исследователей скорость юза имеет критическое значение υs, кр, при котором замедление jхт и коэффициент продольного сцепления
(4.38)
имеют максимальные значения, порождающие максимум мгновенной мощности наката колеса на тормозной путь
. (4.39)
Поэтому тормозной момент Мт как управляемая помеха вращению колеса неподвижной дорогой и подвижной массой mкт должен иметь значения
(4.40)
при мгновенной угловой скорости колеса
, (4.41)
коэффициенте юза
(4.42)
и КПД тормозящего колеса
. (4.43)
Дорога как приспособленная для безопасного движения автотранспортных средств поверхность искусственного сооружения должна обеспечивать своими реакциями состояние мгновенного относительного покоя переменным поверхностям протектора шины каждого из колес, катящихся с одинаковым замедлением расчетной скорости в режиме экстренного торможения и сохранения управляемости и устойчивости автомобиля.
Водитель, обладающий профессиональным мастерством и «чувством автомобиля, дороги и среды», может применять сто (!) приемов торможения [5, с. 69]. В отличие от самых современных АВS биофизическое тело тренированного водителя способно ощущать скорость замедлений djхт/dτ в зоне критической скорости юза υs, кр и работать ногами с частотой импульсного (ступенчатого) экстренного торможения до 8 Гц. Поэтому частота импульсов jхт, принятая в тормозной части паспорта равной 1 Гц, далека от достижимой мастерами экстра-класса.
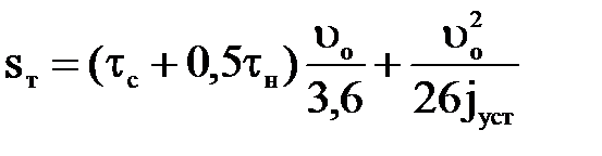
Согласно ГОСТ Р 51709-2001 тормозной путь автомобиля при дорожной проверке рабочей тормозной системы определяется по формуле
, (4.44)
где нормированное при начальной скорости υо = 40 км/ч (~ 11м/с) установившееся замедление
(4.45)
является средней величиной, пропорциональной коэффициенту продольного сцепления φхт, зависимому более чем от 47 факторов [7, с.57]. Часть этих факторов уже учтена в зависимости (4.30), таблице 4.3 и графиках φυс = f(υт), φυм = f(υт) и φυмз = f(υт), позволяющих прогнозировать текущие значения замедлений (4.45) и их скорость djхт/dτ в каждом импульсе нажатия на тормозную педаль и вместо принятого в АВS «перетормаживания», порождающего блокировку и юз колес, задавать их «недотормаживание» или «персональный юзовый почерк» мастера – водителя на дороге, характеризуемый минимальным отношением длины дискретных следов юза к длине их безюзовых «разрывов», обеспечивающих курсовую устойчивость и управляемость автомобиля при экстренном торможении безаварийно-эффективной скорости υа, входящей в формулу (3.14). Через эту формулу инженер может придать традиционной функции надзора за людьми и техникой новое, рыночное содержание при периодической проверке технического состояния подвижного состава и уровня водительского мастерства не только по персональному юзовому почерку на дороге, но и первым четырем слагаемым остановочного пути. На рисунке1 Приложения А субъективное время τр + τз исключено по причине неопределенности его значений, а при дорожно-автодромной проверке уровня водительского мастерства может быть измерено и вместе с юзовым почерком определять оплачиваемую классность водителя. В курсовом проекте (работе) начало замедлений jхт = f (τ) тоже можно сместить вверх на величину τр + τз и вместо тормозной части паспорта автомобиля рассматривать тормозную характеристику системы водитель-автомобиль-дорога.
Графики jхт = f (τ) и υхт = f (τ), зависимые от текущих значений коэффициента сцепления φυс, φυм или φυмз, строим последовательными графоаналитическими «шагами»:
1. Из принятого значения начальной скорости υа проводим вертикаль до пересечения с кривой φυс, φυм или φυмз, ординату точки пересечения проектируем по горизонтали до пересечения с наклонной прямой g на левом поле (графически умножаем φυ на g) и полученную точку пересечения проектируем по вертикали на шкалу замедлений jхт. Это начальное замедление при линейном его нарастании за время τ < τн после времени запаздывания τс соответствует не максимальному, а реализованному при дорожных испытаниях среднему значению коэффициента сцепления
φυс ~ φυс, max – 0,2. (4.46)
Поэтому начальный (первый) «клевок» замедлений может иметь максимальное значение
jхт,max ~ φυс g + 2. (4.47)
Однако такое увеличение замедления порождает «перетормаживание», блокировку и юз колес. Поэтому при выбранной частоте 1 Гц замедление jхт, max необходимо за 0,5с уменьшить до значения jхт = φυс g при начальной скорости υа, завершив первый импульс частичным отпусканием тормозной педали.
2. Из построенной части графика jхт = f (τ) определяем время τн нарастания замедления, среднее замедление
jхт, ср ~ 0,5jхт,max , (4.48)
уменьшение начальной скорости за время τн нарастания замедления
Δυн = jхт, ср· τн = 0,5jхт,max· τн, (4.49)
среднее замедление за время Δ τот ≈ 0,5с частичного отпускания педали
jхт, от = 0,5(jхт,max + φυс g) (4.50)
и уменьшение скорости за это время
Δυот = 0,5(jхт,max + φυс g) Δ τот. (4.51)
3. На среднем верхнем поле строим график скорости υхт = f (τ), последовательно откладывая влево от вертикали, проходящей через принятое значение υа, найденные уменьшения Δυн и Δυот, определяющие скорость
υ1 = υа - Δυн - Δυот (4.52)
в конце первого тормозного импульса.
4. Из найденного значения υ1 проводим вертикаль до пересечения с кривой φυс, φυм или φυмз, полученную точку проектируем по горизонтали до пересечения с наклонной g на левом поле и вертикалью из найденной точки определяем минимальное замедление во втором импульсе. Максимальное замедление в этом и следующих импульсах задаем несколько меньшим (4.47) с целью уменьшения длины следов юза.
Поскольку принятая продолжительность (период) второго и следующих импульсов Δ τ2 = Δ τ3 = …= Δ τn = 1с, то уменьшение скорости во втором и следующих импульсах численно равно возрастающему среднему замедлению в этих импульсах торможения автомобиля до его остановки за какое-то время, «отсекаемое» кривой υа = f (τ) на правой вертикальной шкале левого поля.
5. Текущие значения пути sт = f (τ) определяем методом графического интегрирования средних значений скорости υа = f (τ) в конце секундных интервалов общего времени импульсно-ступенчатого торможения с возрастающей интенсивностью.






