Знаковые модели представляют собой выражение модели системы в виде совокупности знаков (рисунков, чертежей, топографических карт, математических формул и др.). Знаковые модели внешнего подобия представляют собой условные отображения наблюдаемых или воображаемых внешних форм моделируемых объектов. К ним относятся рисунки, фотографии, чертежи, топографические карты.
В графических моделях наглядным средством отображения состава и структуры объектов являются графы. Основными элементами графа являются вершины и ребра, которые связывают вершины. Вершины обычно отображаются кружками, ребра – линиями.

Логические модели описывают состояния системы на основе знаний о возможных состояниях элементов этой системы и правил перехода в эти состояния.
Возможное состояние элемента – набор определенных значений его свойств.
Правило перехода в конкретное состояние элемента – это зависимость определенного значения свойства элемента от значений других свойств этого элемента или от свойств других элементов. Правило перехода обычно задается условным выражением типа «если, то».
|
|
|
С помощью логических моделей можно проследить динамику состояния системы, выстраивая логические цепочки.
Пример: оценка студента на экзамене в зависимости от набранных баллов:

Математическая модель представляет собой совокпуность математических символов, между которыми установлены математические отношения, описывающие свойства моделируемого объекта. К их числу необходимо отнести законы в виде математических зависимостей, алгоритмы для вычислительных машин, различные математические (числовые и логические) выражения. Наибольший эффект от применения математических моделей может быть достигнут в том случае, если система достаточно хорошо осмыслена и предварительно описана на словесном (вербальном) уровне, определены цель исследования и доступные для измерения показатели свойств системы.
Аналитические модели представляют собой описание взаимосвязи свойств элементов системы с использование математических выражений (формул).
Пример: Формула Альберта Эйнштейна:
,
где E — энергия тела;
m — его масса;
c — скорость света в вакууме, равная 299 792 458 м/с.
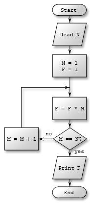
Алгоритмические модели описывают заранее известный порядок смены состояний системы. При этом такое описание может содержать как математические формулы, тат и специальные символы, применяемые для описания блок-схем.
Пример:
