· Закон Био – Савара – Лапласа
d B =m0m dl r I/4π r,
где d B – магнитная индукция поля, создаваемого элементом i проводника с током; m – магнитная проницаемость; m0 – магнитная постоянная (m0 =4p 10 -7 Гн/м); dl – вектор, равный по модулю длине dl проводника и совпадающий по направлению с током (элемент проводника); I – сила тока; r – радиус-вектор, проведенный от середины элемента проводника к точке, магнитная индукция в которой определяется.
Модуль вектора d B выражается формулой
dB=m0m dl I sin α/4π r2,
где
a – угол между векторами d l и r.
· Магнитная индукция В связана с напряженностью Н магнитного поля (в случае однородной, изотропной среды) соотношением

или в вакууме

· Магнитная индукция в центре кругового проводника с током

где R — радиус кривизны проводника.
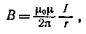
· Магнитная индукция поля, создаваемого бесконечно длинным прямым проводником с током,
где r – расстояние от оси проводника.
Магнитная индукция поля, создаваемого отрезком проводником

Обозначения ясны из рис. 3.1, а). Вектор индукции В перпендикулярен плоскости чертежа, направлен к нам и поэтому изображен точкой.
|
|
|
При симметричном расположении концов проводника относительно точки, в которой определяется магнитная индукция (рис. 3.1, б),
и, следовательно,

· Магнитная индукция поля, создаваемого соленоидом в средней его части (или тороида на его оси),

где п — число витков, приходящихся на единицу длины соленоида; I – сила тока в одном витке.
· Принцип суперпозиции магнитных полей: магнитная индукция В результирующего поля равна векторной сумме магнитных индукций В 1,В2,..., В n складываемых полей, т. е.

В частном случае наложения двух полей

а модуль магнитной продукции

где a – угол между векторами В1 и В2.






