7.1. Гармонический сигнал
Гармонический сигнал
записывают в виде
, (7.1)
где
- амплитуда сигнала (индекс
от слова «максимум»),
- круговая частота, а
- начальная фаза. Временная диаграмма гармонического сигнала
показана на рис. 7.1.

Рис. 7.1
Амплитуда гармонического сигнала – это его максимальное значение, она измеряется в единицах сигнала (вольтах для напряжения и амперах для тока).
Период сигнала
(рис. 7.1) определяет циклическую частоту
его повторения,
, (7.2)
измеряемую в герцах (Гц). Ее физический смысл – число периодов колебаний в секунду.
Аргумент косинуса в (7.1) вида
(7.3)
называют полной фазой колебания, она пропорциональна текущему времени и измеряется в радианах или градусах.
Круговая частота
равна
(7.4)
и представляет собой число радиан, на которое изменяется полная фаза колебания в единицу времени (1 с).
При
полная фаза равна
, поэтому параметр
называют начальной фазой гармонического сигнала. Она измеряется в радианах или градусах. Так как период функции
равен
или 3600, то начальная фаза оказывается многозначной величиной. Например, значения начальной фазы 300 и (300+3600)=3900, а также (300-3600)=-3300 оказываются эквивалентными. Для устранения неоднозначности договариваются, что значения начальной фазы должны находиться, например, в интервале от 0 до
, или от
до
(аналогичные границы могут быть заданы в градусах).
Начальная фаза связана со смещением гармонического сигнала во времени на величину
относительно функции
, как показано на рис. 7.1. Функция
смещена влево относительно
, а
- вправо. Положительные значения
отсчитываются в сторону увеличения
, а отрицательные – наоборот. Из (7.1) можно записать
, (7.5)
где смещение во времени
равно
. (7.6)
Тогда для начальной фазы получим
. (7.7)
Как видно, начальная фаза определяется временным сдвигом
гармонического сигнала относительно функции
. При
сигнал
смещается вправо (позднее сигнала
) по оси времени, при этом его начальная фаза
, а если
, то временная диаграмма смещается влево (раньше
) по оси времени, а
.
Величина начальной фазы зависит от начала отсчета времени (положения точки
). При смещении начала отсчета времени изменяется и начальная фаза.
Применительно к двум гармоническим сигналам
и
с разными начальными фазами
и
вводится в рассмотрение сдвиг фаз между первым и вторым сигналами,
. (7.8)
На рис. 7.2 показаны два гармонических сигнала с начальными фазами
и
, причем
и
. В этом случае говорят, что первый сигнал опережает по фазе второй или второй сигнал отстает по фазе от первого.
Сдвиг фаз
связан со смещением
сигналов во времени
, (7.9)
положительные значения временного сдвига отсчитываются в направлении оси времени. Гармоническое колебание может быть задано в нетипичной форме, которую необходимо преобразовать к виду (7.1), иначе начальная фаза
Рис. 7.2 оказывается неопреде-
ленной. Примеры преобразования показаны в табл. 7.1.
Таблица 7.1.
| Исходный сигнал | Преобразованный сигнал | Начальная фаза |
| | |
| | |
| | |
7.2. Схемотехническое моделирование
Рассмотрим цепь, показанную на рис. 7.3 при e(t) = E sin(wt), E = 1 В, Re = 1 кОм, f = 50 кГц,
рад/с.
. 
Рис. 7.3
Построим модель цепи в программе MicroCAP, показанную на рис. 7.4.

Рис. 7.4
На рис. 7.5 показаны временные диаграммы напряжений источника e(t) (кривая с самой большой амплитудой), напряжения
в узле 2 (на емкости
и сопротивлении
) и напряжения
на сопротивлении
.

Рис. 7.5
По кривым на рис. 7.5 определяются амплитуды напряжений и их сдвиги во времени относительно напряжения источника, значения которых приведены в табл. 7.2.
Начальные фазы связаны со сдвигом во времени соотношением
,
результаты расчетов приведены в табл. 7.2.
Таблица 7.2
| Элемент | U, В | мкс | рад |
| V1 | |||
| 0,29 | 0,785 | |
, | 0,85 | -2,5 | -0,314 |
Уравнение второго закона Кирхгофа имеет вид
.
Обозначим левую часть уравнения
.
При точных расчетах выполняется условие
, а при приближенных (округленных) результатах моделирования появляется погрешность
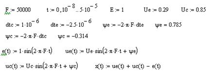
, которую можно представить графически. Программа расчета в программе MathCAD показана на рис. 7.6, а результаты - на рис. 7.7.
Аналогичные результаты необходимо получить для токов в элементах цепи и проверить выполнение первого закона Кирхгофа. Требуется исследовать фазовые соотношения между токами и напряжениями в элементах цепи.

Рис. 7.6


Рис. 7.7
Как видно, временные диаграммы напряжений в верхней части рис.7.7 совпадают с результатами моделирования. Из графика
в нижней части рис. 7.7 следует, что погрешность выполнения второго закона Кирхгофа меняется по гар-
моническому закону с амплитудой 0,06 В (6 % от амплитуды напряжения источника), что обусловлено погрешностями измерения амплитуд и начальных фаз напряжений по результатам моделирования.
ПРИЛОЖЕНИЕ
Таблица двоичных кодов номера студента
| N | N2 | N | N2 | N | N2 | N | N2 |
мкс
рад
,






