Каждая из рассмотренных функций булевого базиса приобретает значение логического нуля или логической единицы в зависимости от аргументов хn, входящих в состав данной функции.
Таблица 10.4 – Таблица истинности логической функции 2ИЛИ-НЕ
|
Из логических элементов, реализующих простейшие функции НЕ, И, ИЛИ, можно построить более сложные функции путём последовательного выполнения функциональных зависимостей, связываю-щих пары переменных.
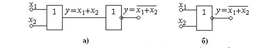
Например, требуется получить функцию 2ИЛИ-НЕ. Она создаётся из двух булевых функций 2ИЛИ и НЕ. Схемотехнически такая задача решается путём последовательного соединения логических элементов 2ИЛИ и НЕ (рис. 10.7, а). Это соединение реализует функцию 2ИЛИ-НЕ, носящей название стрелки Пирса, и условно обозначается, как показано на рис. 10.7, б.

Рисунок 10.7 – Двухвходовая схема 2ИЛИ-НЕ: а) соединение элементов 2ИЛИ и НЕ;
б) условное обозначение
Работу схемы 2ИЛИ-НЕ описывает таблица истинности (табл. 10.4).
|
|
|
Принцип действия схемы объясняет временная диаграмма работы, показанная на рис. 10.8.
Рисунок 10.8 – Временная диаграмма работы схемы 2ИЛИ-НЕ |
Если оба входа нулевые (х 1 = 0 и х 2 = 0), то значение функции единично у = 1. Когда или х 1 = 1, или х 2 = 1, или оба аргумента единичны, то зна-чение функции нулевое у = 0.
Если сравнить работу схем 2ИЛИ (рис. 10.6) и 2ИЛИ-НЕ (рис. 10.8), то можно увидеть, что всё различие заключается лишь в инверсии выходного сигнала у.
Аналогично можно получить логическую функцию 2И-НЕ с помощью двух логических функций булевого базиса 2И и отрицания НЕ (рис. 10.9). Функция 2И-НЕ носит название элемента Шеффера.

Рисунок 10.9 – Двухвходовая схема 2И-НЕ: а) соединение элементов 2И и НЕ;
б) условное обозначение
Таблица 10.5. – Таблица истинности логической функции 2И-НЕ
|
Элемент Шеффера создаётся последовательным соединением двух логических элементов, реализующих функции 2И и НЕ. Поэтому таблица истинности функции 2И-НЕ (табл. 10.5) является проинвертированной таблицей истинности функции 2И (табл. 10.2).

Рисунок 10.10 – Временная диаграмма работы схемы 2И-НЕ
Временная диаграмма работы схемы 2И-НЕ (рис. 10.10) получается инверсией выходного сигнала у логической схемы 2И (см. рис. 10.4).
Из диаграммы работы (рис. 10.10) видно следующее.
Если оба входные сигналы единичны (х 1 = 1 и х 2 = 1), то значение выходного сигнала равно нулю: у = 0. Если хотя бы один из входных сигналов равен нулю, то значение выходного сигнала равно единице: у = 1.
Рисунок 10.8 – Временная диаграмма работы схемы 2ИЛИ-НЕ 





