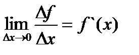
Определение.
Если отношение
имеет предел при
этот предел называют производной функции
при заданном значении
и записывают
. (1)
Замечание. Если при некотором значении
, существует производная функции
при этом значении, то в этой точке функция непрерывна.
Заметим, что отношение
из рис. 1 численно равно
.
Определение. Производная функции
в точке
численно равна тангенсу угла, который составляет касательная к графику этой функции построенной в точке
с положительным направлением с осью
.
Из последнего определения становится ясно, почему в случае убывающей функции (рис. 2) производная отрицательна. Это объясняется тем, что

, если

будет отрицательным.
На этом свойстве производной основано исследование поведения функции на возрастание (убывание) на заданном отрезке.