
5. Логарифмическое дифференцирование. Пусть дана функция
. При этом предполагается, что функция
не обращается в нуль в точке
. Покажем один из способов нахождения производной функции
, если
очень сложная функция и по обычным правилам дифференцирования найти производную затруднительно.
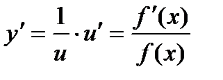
Так как по первоначальному предположению
не равна нулю в точке, где ищется ее производная, то найдем новую функцию
и вычислим ее производную
. (4)
Отношение
называется логарифмической производной функции
. Из формулы (4) получаем
. (5)
Формула (5) дает простой способ нахождения производной функции
.
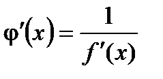
6. Производная обратной функции.
Теорема. Если
имеет в точке
производную, отличную от нуля, тогда в этой точке обратная функция
также имеет производную и имеет место соотношение
. (6)
Пользуясь этой теоремой, найдем производные обратных тригонометрических функций.
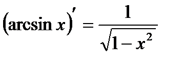
1.
на интервале
.
, тогда
, откуда
следовательно,
.
2.
.
.
, откуда

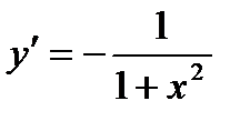
3.
.
;
, откуда

4.
;
;
5.
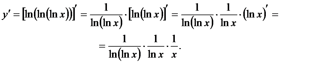
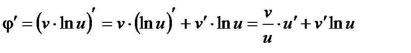
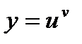
, где
и
являются функциями от
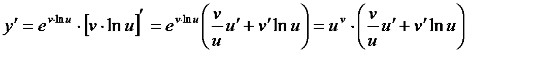
. Для нахождения
применим формулу (5). Для этого предварительно найдем функцию
|
|
|

и ее производную
.
По формуле (5) получаем
.
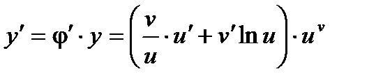
Эту же формулу можно получить иначе. Представим
в виде

и найдем производную этой функции
.






