Геометрический смысл производной. Производная в точке x0 равна угловому коэффициенту касательной к графику функции y = f(x) в этой точке.

Рассмотрим график функции y = f (x):

Из рис.1 видно, что для любых двух точек A и B графика функции:
, где
- угол наклона секущей AB. Таким образом, разностное отношение равно угловому коэффициенту секущей.
Если зафиксировать точку A и двигать по направлению к ней точку B, то
неограниченно уменьшается и приближается к 0, а секущая АВ приближается к касательной АС.
Следовательно, предел разностного отношения равен угловому коэффициенту касательной в точке A.
Отсюда следует: производная функции в точке есть угловой коэффициент касательной к графику этой функции в этой точке.
В этом и состоит геометрический смысл производной.
11.Правила дифференцирования.
Пусть заданы две функции
и
, которые имеют производные в точке
.
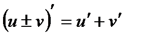
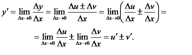
1. Производная алгебраической суммы равна алгебраической сумме производных.
.
Покажем это. Пусть некоторая функция у, равная
имеет приращение
. Тогда функции
и
тоже должны получить приращения
и
, соответственно. Новое значение
будет
, а для
–
, следовательно,
|
|
|

Найдем
по определению (2) производной
.
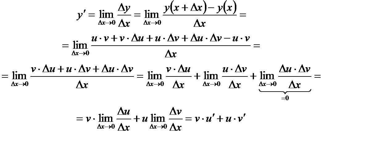
2. Производная произведения равна
. Покажем справедливость этого равенства.
Если, как в первом случае, дать
приращение
, то функции u и v также получат приращение, следовательно, и функция
тоже изменится. Найдем
.
.
По определению производной

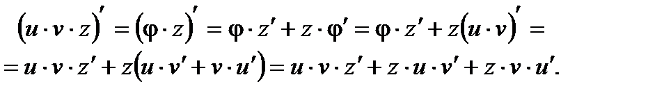
Если необходимо вычислить производную нескольких сомножителей, например,
, если все три функции имеют производные в точке
, используя правило вычисления производной для двух сомножителей, получим

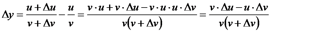
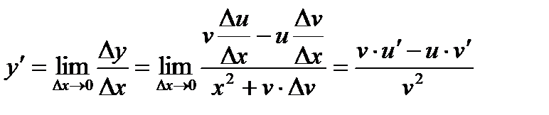
3. Производная частного. Рассмотрим функцию
, причем, кроме существования производных в точке
для функций
и
необходимо положить, что
в точке
отлична от нуля.
Найдем
.

и тогда из определения производной имеем
.
Пример. Показать, что
.
Решение. Используя производную частного

4. Производная сложной функции. Пусть дана
, где
. Тогда имеет место теорема, которую приведем здесь без доказательства.
Теорема. Если функция
имеет в точке
производную
и функция
имеет в точке
производную
, тогда сложная функция
имеет в точке
производную, равную
(3)
Пример. Найти производную функции
.
Решение.
.
Пример. Найти производную функции
.






